出生前母体重(类)金属复合暴露与子代认知和气质发育的相关性研究 |
| 徐祖婧, 江怡宁, 徐健 |
|
Relationship between prenatal mixed heavy metal/metalloid exposure and offspring cognitive and temperament development |
| XU Zujing, JIANG Yining, XU Jian |
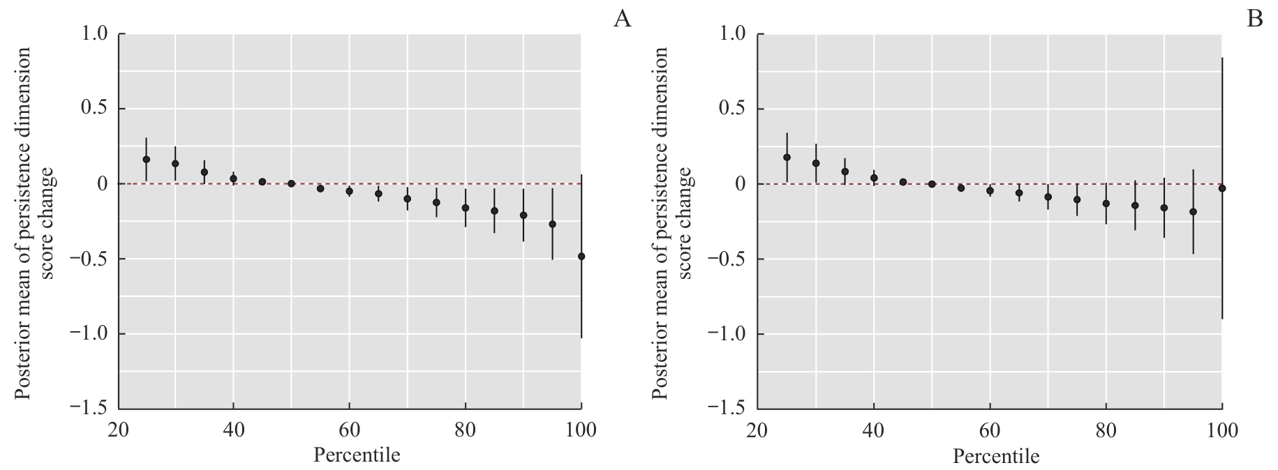
| 图3 通过BKMR模型分析出生前母体4种重(类)金属复合暴露对幼儿坚持性维度的总效应 Note: The overall concentration of the four heavy metals/metalloid (Mn, Cr, As, and Pb) at the P50 level was used as the reference (dashed lines). A. Without adjustment for confounders. B. After adjusting for maternal age, maternal education, gestational age, child age, and child gender. |
| Fig 3 Total effect of prenatal maternal exposure to a combination of four heavy metals/metalloid on the persistence dimension of the children by the BKMR model |
|