出生前母体重(类)金属复合暴露与子代认知和气质发育的相关性研究 |
| 徐祖婧, 江怡宁, 徐健 |
|
Relationship between prenatal mixed heavy metal/metalloid exposure and offspring cognitive and temperament development |
| XU Zujing, JIANG Yining, XU Jian |
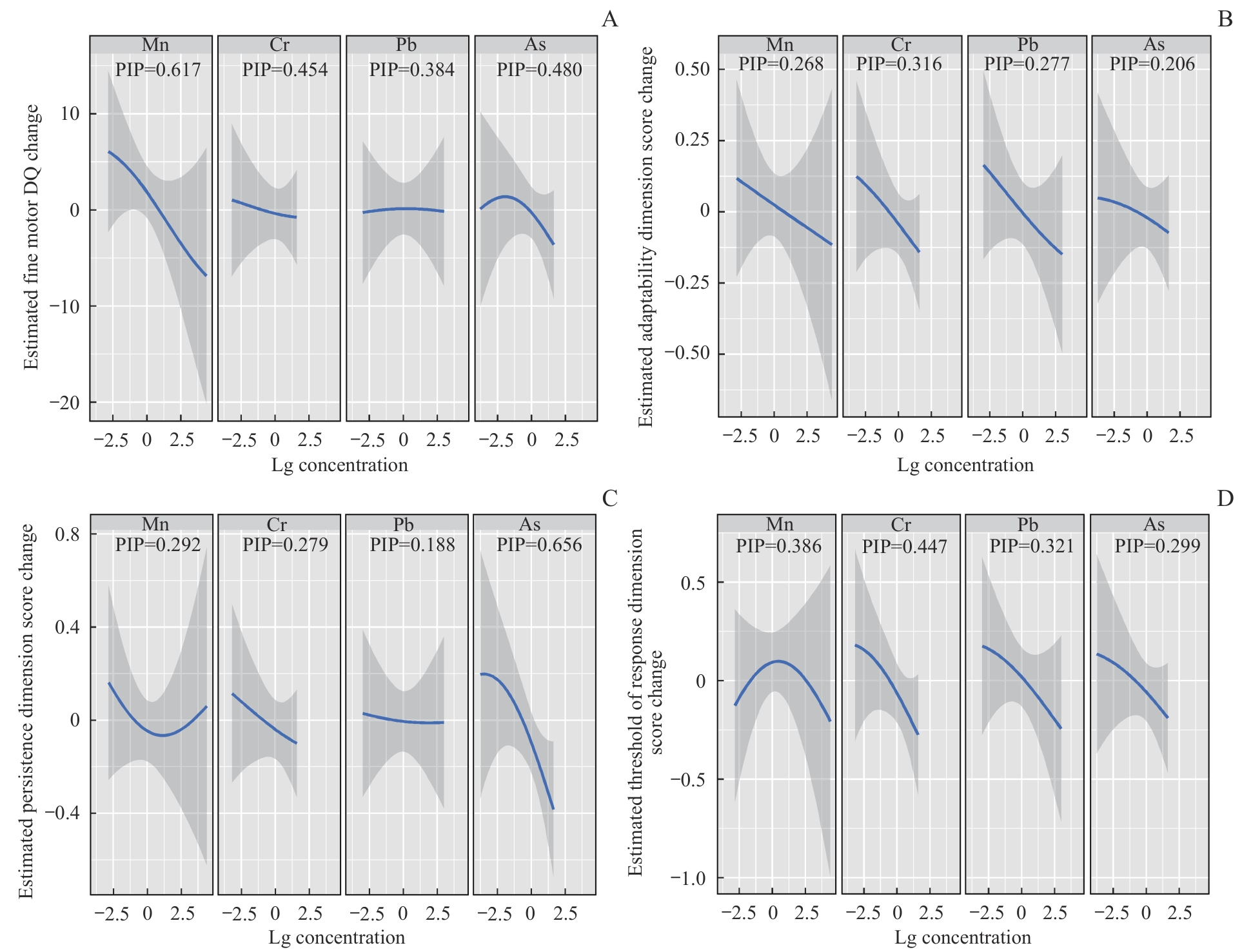
| 图5 基于BKMR模型分析出生前母体4种重(类)金属暴露对幼儿认知和气质发育影响的主导性 Note: The models were adjusted for maternal age, maternal education, gestational age, child age, and child sex. The impact of prenatal maternal exposure to various heavy metals/metalloid on the changes in fine motor DQ (A), and adaptability (B)/persistence (C)/threshold of response (D) dimension scores across different exposure levels was assessed. The figures illustrated the associations between the concentration of a specific heavy metal/metalloid and changes in the DQ value or dimension scores, while the concentration levels of the other three were fixed at the 50th percentile. |
| Fig 5 Analyses of the dominant effects of prenatal maternal exposure to the four heavy metals/metalloid on cognitive and temperament development in young children based on the BKMR model |
|