腹部脂肪面积与2型糖尿病患者胰岛β细胞第一时相分泌功能的关系 |
| 陆佳萍, 刘醒, 张林杉, 赵琳, 张敏, 李小英, 刘玥隽 |
|
Relationship between abdominal fat area and first-phase insulin secretion function of pancreatic β-cells in patients with type 2 diabetes |
| LU Jiaping, LIU Xing, ZHANG Linshan, ZHAO Lin, ZHANG Min, LI Xiaoying, LIU Yuejun |
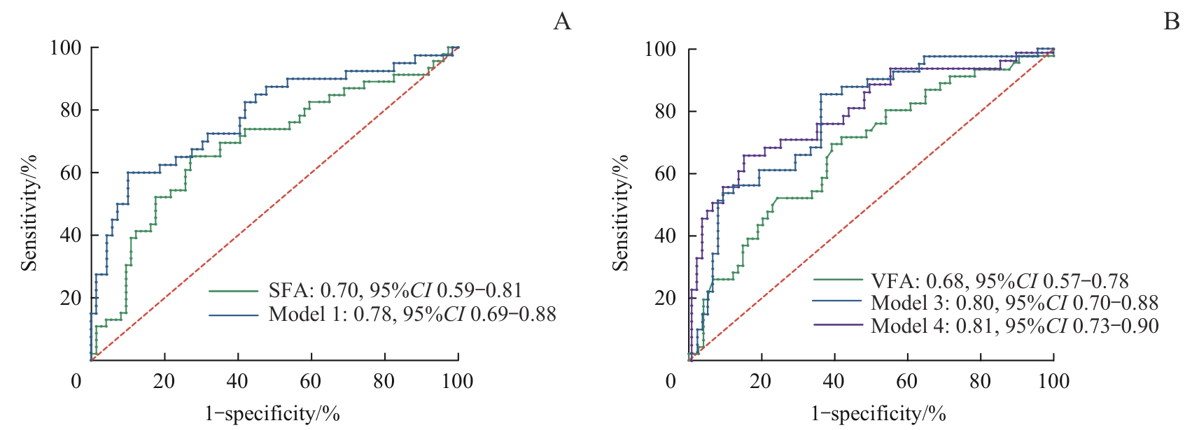
| 图1 预测β细胞第一时相分泌功能衰竭的ROC曲线 Note: A. Models including SFA for predicting depleted insulin secretion function. B. Models including VFA for predicting depleted insulin secretion function. |
| Fig 1 ROC curve of models for predicting depleted first-phase insulin secretion function of β-cells |
|