Fas相关死亡结构域蛋白促进头颈部鳞状细胞癌细胞增殖能力的机制研究 |
| 陈怡楠, 郑旸, 曾汉林, 雷鸣 |
|
Mechanism of Fas-associated protein with death domain in promoting proliferation of head and neck squamous cell carcinoma cells |
| CHEN Yinan, ZHENG Yang, ZENG Hanlin, LEI Ming |
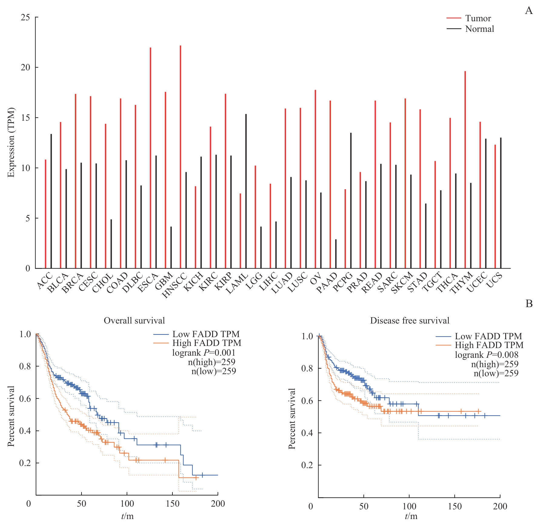
| 图1 FADD 在泛癌中的表达水平及预后分析 Note: A. FADD expression levels in different tumor types from the GEPIA 2 database. B. Relationship between FADD expression and prognosis in HNSCC patients based on the GEPIA 2 database. TPM—transcripts per million. |
| Fig 1 Expression levels of FADD in different cancers and its prognostic analysis |
|