阻塞性睡眠呼吸暂停与脑成像衍生表型的双向孟德尔随机化研究 |
| 张慧华, 干静, 侯媌媌, 卢娜 |
|
Bidirectional Mendelian randomization study of the relationship between brain imaging-derived phenotypes and obstructive sleep apnea |
| ZHANG Huihua, GAN Jing, HOU Miaomiao, LU Na |
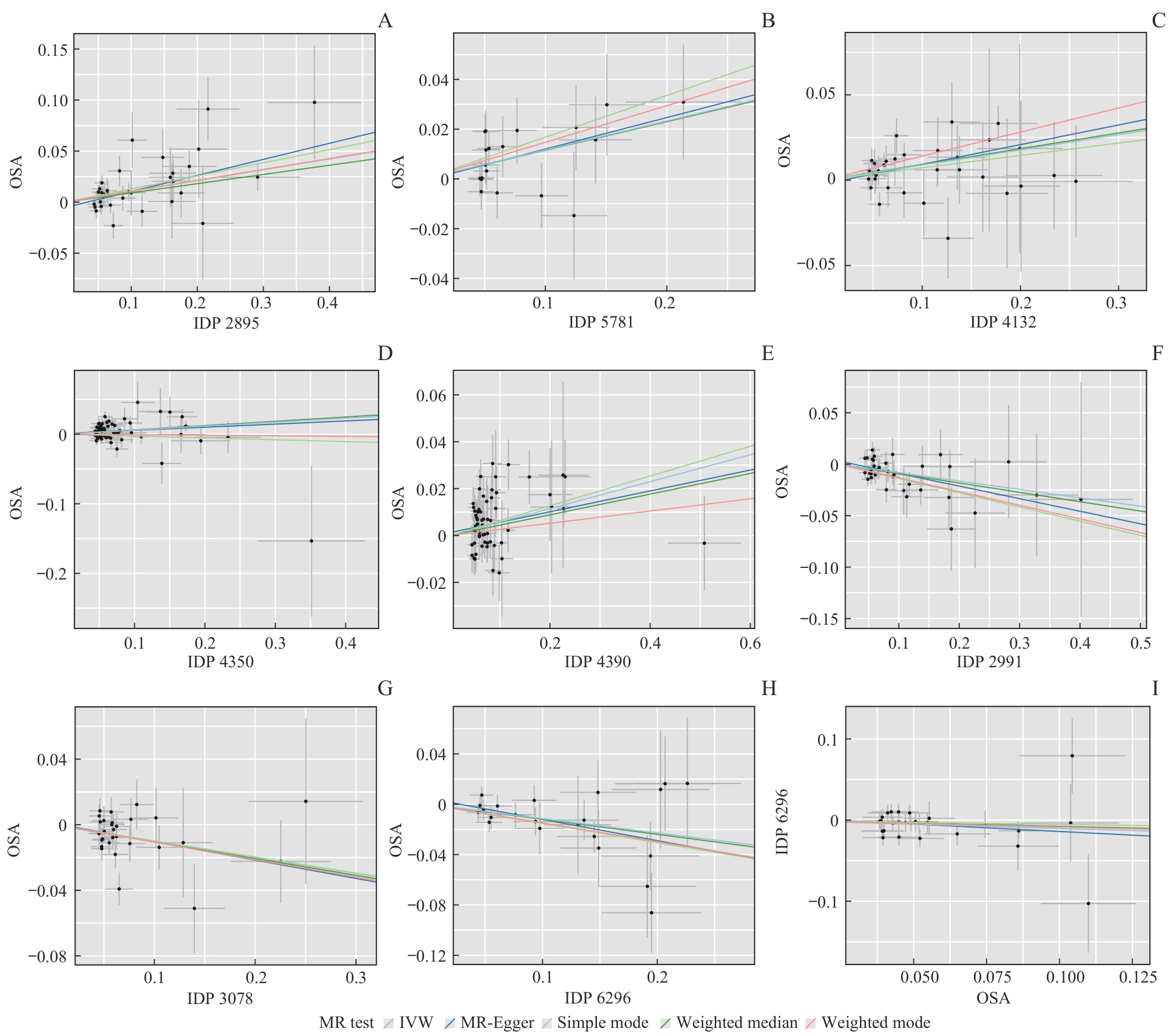
| 图3 IDP与OSA的遗传关联效应散点图 Note: A. Scatterplot of SNP effects on IDP 2895 and OSA. B. Scatterplot of SNP effects on IDP 5781 and OSA. C. Scatterplot of SNP effects on IDP 4132 and OSA. D. Scatterplot of SNP effects on IDP 4350 and OSA. E. Scatterplot of SNP effects on IDP IDP 4390 and OSA. F. Scatterplot of SNP effects on IDP 2991 and OSA. G. Scatterplot of SNP effects on IDP 3078 and OSA. H. Scatterplot of SNP effects on IDP 6296 and OSA. I. Scatterplot of SNP effects on OSA and IDP 6296. |
| Fig 3 Scatterplots of genetic association effects between IDPs and OSA |
|