阻塞性睡眠呼吸暂停与脑成像衍生表型的双向孟德尔随机化研究 |
| 张慧华, 干静, 侯媌媌, 卢娜 |
|
Bidirectional Mendelian randomization study of the relationship between brain imaging-derived phenotypes and obstructive sleep apnea |
| ZHANG Huihua, GAN Jing, HOU Miaomiao, LU Na |
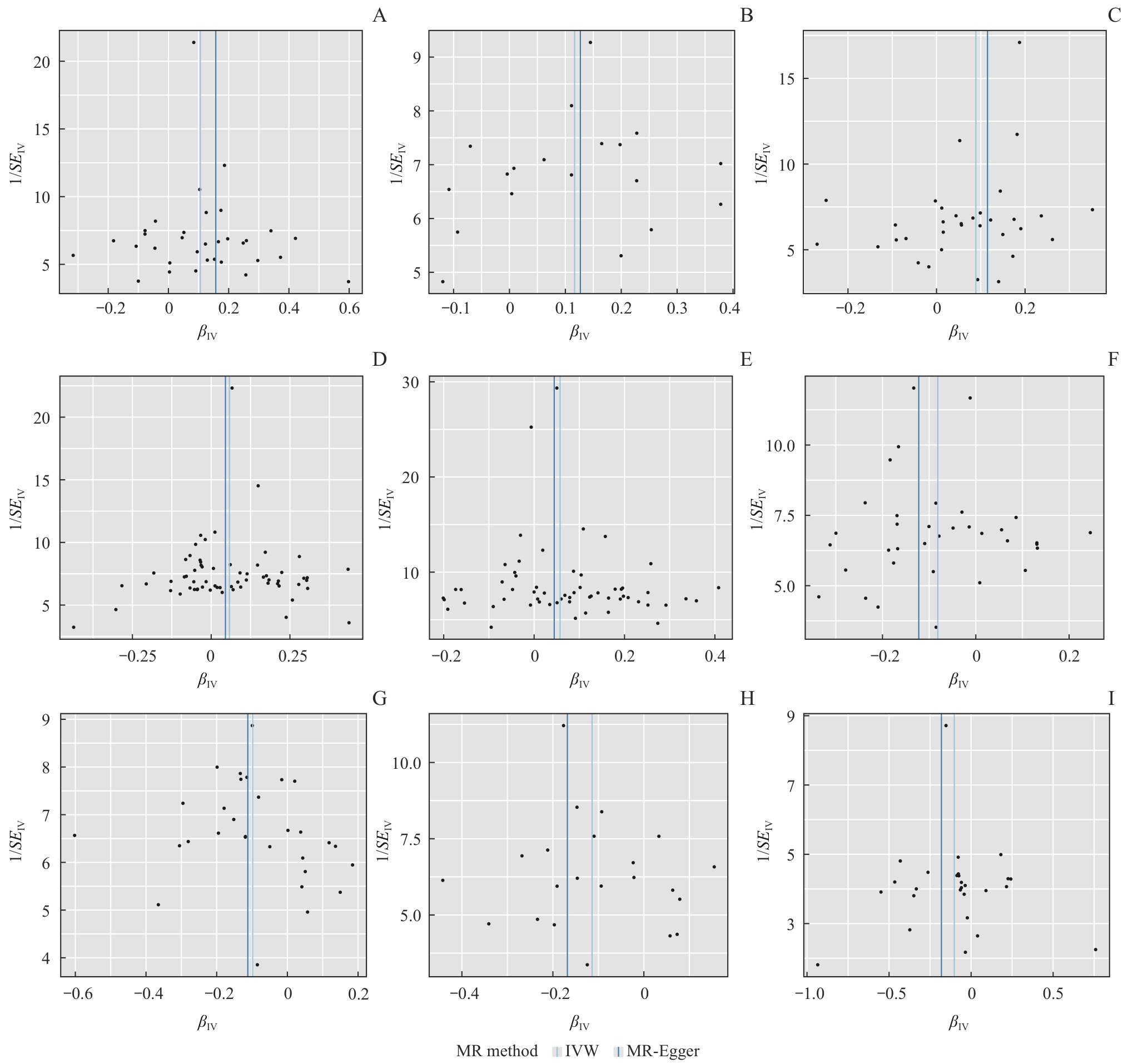
| 图6 IDP与OSA关联的SNP效应漏斗图 Note: A. Funnel plot of the effect of IDP 2895 on OSA. B. Funnel plot of the effect of IDP 5781 on OSA. C. Funnel plot of the effect of IDP 4132 on OSA. D. Funnel plot of the effect of IDP 4350 on OSA. E. Funnel plot of the effect of IDP 4390 on OSA. F. Funnel plot of the effect of IDP 2991 on OSA. G. Funnel plot of the effect of IDP 3078 on OSA. H. Funnel plot of the effect of IDP 6296 on OSA. I. Funnel plot of the effect of OSA on IDP 6296. IV—instrumental variable. |
| Fig 6 Funnel plot of SNP effects on IDP-OSA associations |
|