大黄素改善阿尔茨海默病认知障碍、内质网应激和神经炎症的研究 |
| 杨乐, 周怡, 王钶韵, 赖娅莉 |
|
Research on the improvement of cognitive impairment, endoplasmic reticulum stress and neuroinflammation in Alzheimer's disease by emodin |
| YANG Le, ZHOU Yi, WANG Keyun, LAI Yali |
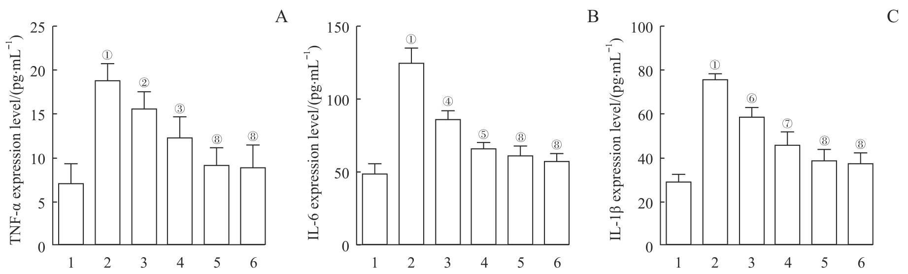
| 图4 大黄素对AD小鼠炎症反应的影响 Note: A. TNF-α expression levels in brain tissue. B. IL-6 expression levels in brain tissue. C. IL-1β expression levels in brain tissue. 1—Control group, 2—AD group, 3—Emodin 25 mg/kg group, 4—Emodin 50 mg/kg group, 5—Emodin 100 mg/kg group, 6—Donepezil group. ①P<0.001, compared with the control group. ②P=0.031, ③P=0.004, ④P=0.037, ⑤P=0.008, ⑥P=0.043, ⑦P=0.003, ⑧P<0.001, compared with the AD group. |
| Fig 4 Effect of emodin on inflammatory response in AD mice |
|