大黄素改善阿尔茨海默病认知障碍、内质网应激和神经炎症的研究 |
| 杨乐, 周怡, 王钶韵, 赖娅莉 |
|
Research on the improvement of cognitive impairment, endoplasmic reticulum stress and neuroinflammation in Alzheimer's disease by emodin |
| YANG Le, ZHOU Yi, WANG Keyun, LAI Yali |
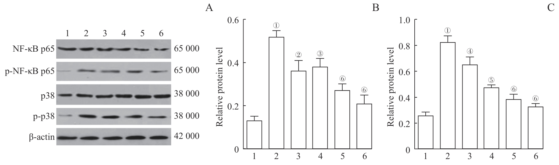
| 图5 大黄素对炎症信号的影响 Note: A. Western blotting images of NF-κB p65, p-NF-κB p65, p38, and p-p38. B. Relative expression of p-NF-κB p65/NF-κB p65. C. Relative expression of p-p38/p38. 1—Control group, 2—AD group, 3—Emodin 25 mg/kg group, 4—Emodin 50 mg/kg group, 5—Emodin 100 mg/kg group, 6—Donepezil group. ①P<0.001, compared with the control group. ②P=0.035, ③P=0.042, ④P=0.028, ⑤P=0.007, ⑥P<0.001, compared with the AD group. |
| Fig 5 Effect of emodin on the inflammation signaling pathways |
|