不同蛋白结合率抗生素在血液净化中的药代动力学/药效动力学研究 |
| 沈玥, 王雨, 徐静仪, 陈渊成, 张菁, 丁峰 |
|
Pharmacokinetics/pharmacodynamics of antibiotics with different protein binding rates in hemodialysis |
| SHEN Yue, WANG Yu, XU Jingyi, CHEN Yuancheng, ZHANG Jing, DING Feng |
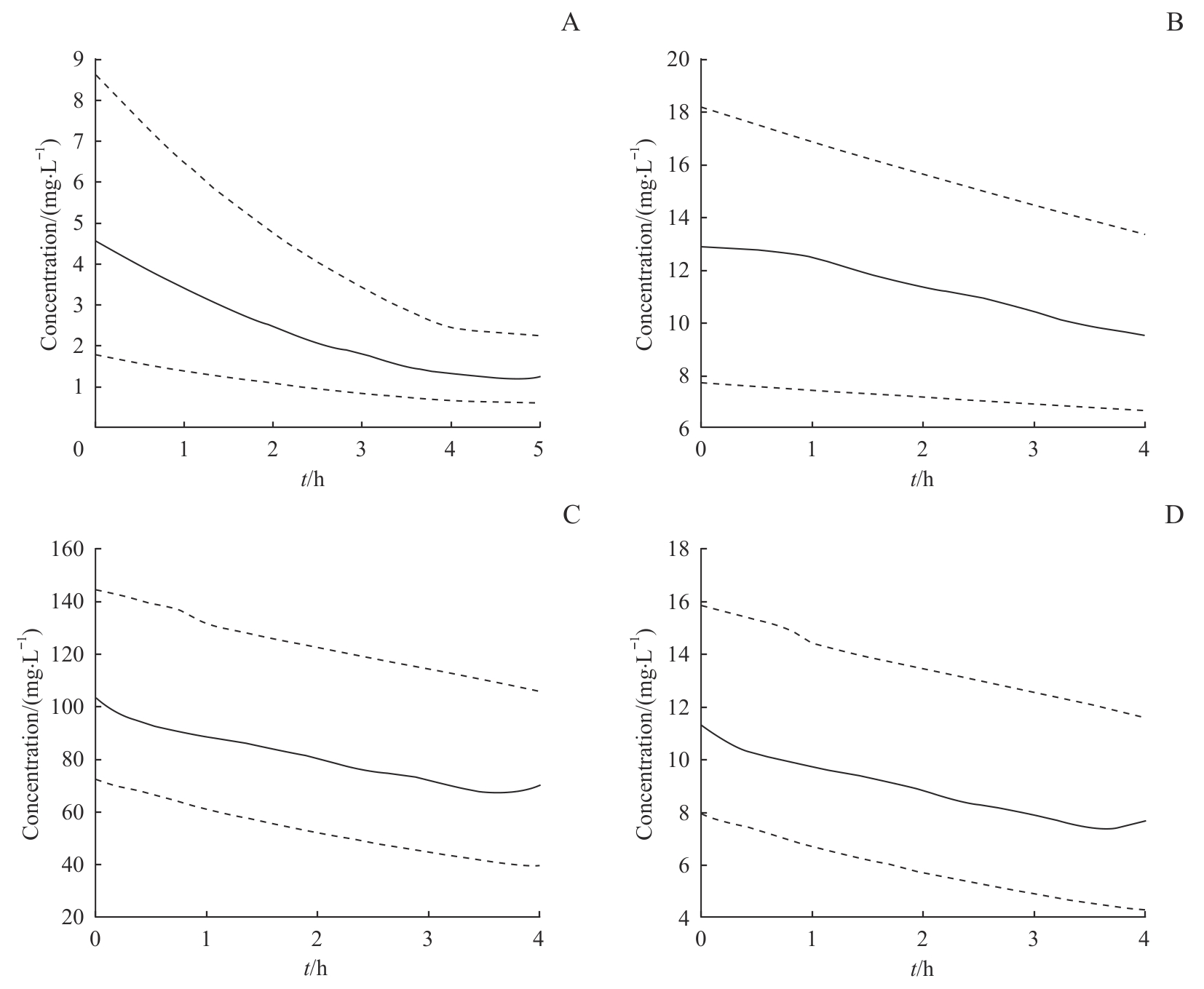
| 图2 二室模型模拟的抗生素平均药时曲线图 Note: A.Plasma concentration-time profile of meropenem (n=7) during IHD and 1 hour post-dialysis. B. Serum concentration-time profile of vancomycin (n=5) during IHD. C. Total plasma concentration-time profile of ceftriaxone (n=7) during IHD. D. Free plasma concentration-time profile of ceftriaxone (n=7) during IHD. Drug concentrations in plasma/serum are presented as mean values (solid line) and ranges (dashed line). |
| Fig 2 Simulated mean concentration-time curves of antibiotics based on the two-compartment model |
|