孟德尔随机化分析乳糜泻与自身免疫性甲状腺疾病的因果关系 |
| 闫军浩, 郭晓磊, 罗昭锋, 唐坚, 王争 |
|
Mendelian randomization analysis of causal relationship between celiac disease and autoimmune thyroid disease |
| YAN Junhao, GUO Xiaolei, LUO Zhaofeng, TANG Jian, WANG Zheng |
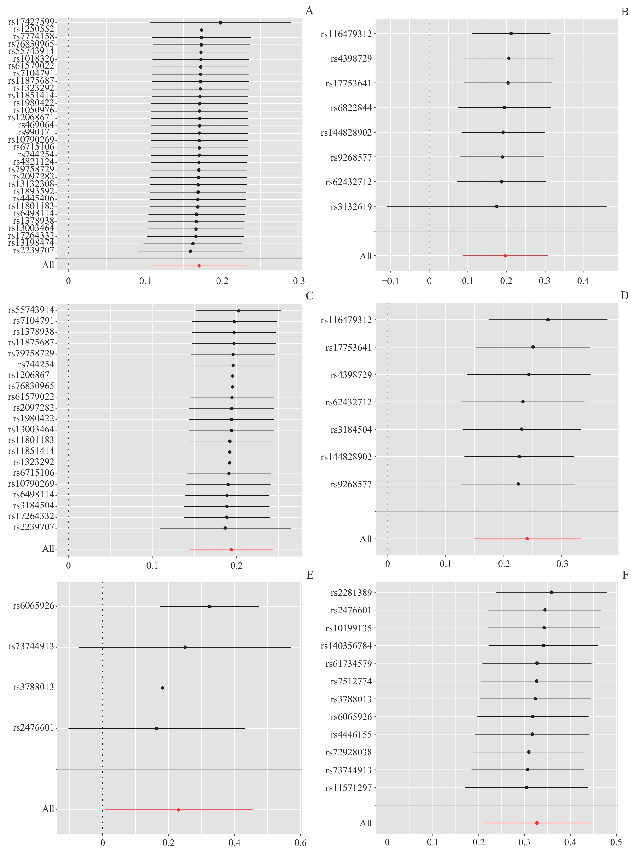
| 图3 留一法敏感性分析结果 Note: A/B. Effect of CeD on HT. C/D. Effect of CeD on GD. E/F. Effect of GD on CeD. |
| Fig 3 Results of the leave-one-out sensitivity analysis |
|