
Journal of Shanghai Jiao Tong University (Medical Science) ›› 2025, Vol. 45 ›› Issue (5): 605-613.doi: 10.3969/j.issn.1674-8115.2025.05.009
• Evidence-based medicine • Previous Articles Next Articles
XU Ling, HUANGFU Yuchan, SHEN Lisong, MA Yanhui(
)
Received:2024-12-26
Accepted:2025-03-13
Online:2025-05-28
Published:2025-05-28
Contact:
MA Yanhui
E-mail:mayanhui@xinhuamed.com.cn
Supported by:CLC Number:
XU Ling, HUANGFU Yuchan, SHEN Lisong, MA Yanhui. Causal association between plasma phosphatidylethanolamine and risk of colorectal adenocarcinoma: a two-sample Mendelian randomization study[J]. Journal of Shanghai Jiao Tong University (Medical Science), 2025, 45(5): 605-613.
Add to citation manager EndNote|Ris|BibTeX
URL: https://xuebao.shsmu.edu.cn/EN/10.3969/j.issn.1674-8115.2025.05.009
| SNP | Chr | Position | Effect allele | Other allele | EAF | β | SE | P value | Nearby gene | R2 | F value | SteigerP value |
|---|---|---|---|---|---|---|---|---|---|---|---|---|
| rs102275 | 11 | 61790331 | C | T | 0.35 | -0.18 | 0.01 | 4.40×10-66 | TMEM258 | 0.020 9 | 202.64 | 8.47×10-57 |
| rs10781444 | 9 | 77534256 | C | T | 0.80 | 0.06 | 0.01 | 3.10×10-6 | GNA14 | 0.001 6 | 14.69 | 1.48×10-5 |
| rs1087299 | 4 | 184305068 | C | T | 0.33 | 0.05 | 0.01 | 5.41×10-6 | MYL12BP2 | 0.001 5 | 14.17 | 9.06×10-6 |
| rs11254897 | 10 | 6942964 | G | A | 0.06 | 0.09 | 0.02 | 6.40×10-6 | LOC105376387 | 0.001 5 | 13.79 | 3.20×10-5 |
| rs1532085 | 15 | 58391167 | G | A | 0.61 | -0.11 | 0.01 | 3.01×10-27 | ALDH1A2 | 0.008 4 | 79.73 | 2.58×10-25 |
| rs17395349 | 2 | 132439386 | A | G | 0.05 | -0.11 | 0.02 | 2.00×10-6 | GPR39 | 0.001 6 | 15.38 | 7.45×10-6 |
| rs1800588 | 15 | 58431476 | T | C | 0.22 | 0.14 | 0.01 | 1.10×10-31 | LIPC | 0.009 8 | 94.84 | 9.27×10-30 |
| rs75933914 | 1 | 51296770 | A | G | 0.03 | 0.13 | 0.03 | 8.70×10-6 | TTC39A LOC124904177 | 0.001 4 | 13.63 | 4.65×10-5 |
| rs7655751 | 4 | 148712269 | T | C | 0.21 | -0.06 | 0.01 | 8.30×10-7 | LOC107986195 | 0.001 9 | 16.86 | 4.04×10-6 |
| rs9393903 | 6 | 11042676 | A | G | 0.23 | 0.08 | 0.01 | 4.00×10-12 | ELOVL2 | 0.003 5 | 33.24 | 3.13×10-10 |
Tab 1 Instrumental variables for TSMR analysis of PE
| SNP | Chr | Position | Effect allele | Other allele | EAF | β | SE | P value | Nearby gene | R2 | F value | SteigerP value |
|---|---|---|---|---|---|---|---|---|---|---|---|---|
| rs102275 | 11 | 61790331 | C | T | 0.35 | -0.18 | 0.01 | 4.40×10-66 | TMEM258 | 0.020 9 | 202.64 | 8.47×10-57 |
| rs10781444 | 9 | 77534256 | C | T | 0.80 | 0.06 | 0.01 | 3.10×10-6 | GNA14 | 0.001 6 | 14.69 | 1.48×10-5 |
| rs1087299 | 4 | 184305068 | C | T | 0.33 | 0.05 | 0.01 | 5.41×10-6 | MYL12BP2 | 0.001 5 | 14.17 | 9.06×10-6 |
| rs11254897 | 10 | 6942964 | G | A | 0.06 | 0.09 | 0.02 | 6.40×10-6 | LOC105376387 | 0.001 5 | 13.79 | 3.20×10-5 |
| rs1532085 | 15 | 58391167 | G | A | 0.61 | -0.11 | 0.01 | 3.01×10-27 | ALDH1A2 | 0.008 4 | 79.73 | 2.58×10-25 |
| rs17395349 | 2 | 132439386 | A | G | 0.05 | -0.11 | 0.02 | 2.00×10-6 | GPR39 | 0.001 6 | 15.38 | 7.45×10-6 |
| rs1800588 | 15 | 58431476 | T | C | 0.22 | 0.14 | 0.01 | 1.10×10-31 | LIPC | 0.009 8 | 94.84 | 9.27×10-30 |
| rs75933914 | 1 | 51296770 | A | G | 0.03 | 0.13 | 0.03 | 8.70×10-6 | TTC39A LOC124904177 | 0.001 4 | 13.63 | 4.65×10-5 |
| rs7655751 | 4 | 148712269 | T | C | 0.21 | -0.06 | 0.01 | 8.30×10-7 | LOC107986195 | 0.001 9 | 16.86 | 4.04×10-6 |
| rs9393903 | 6 | 11042676 | A | G | 0.23 | 0.08 | 0.01 | 4.00×10-12 | ELOVL2 | 0.003 5 | 33.24 | 3.13×10-10 |
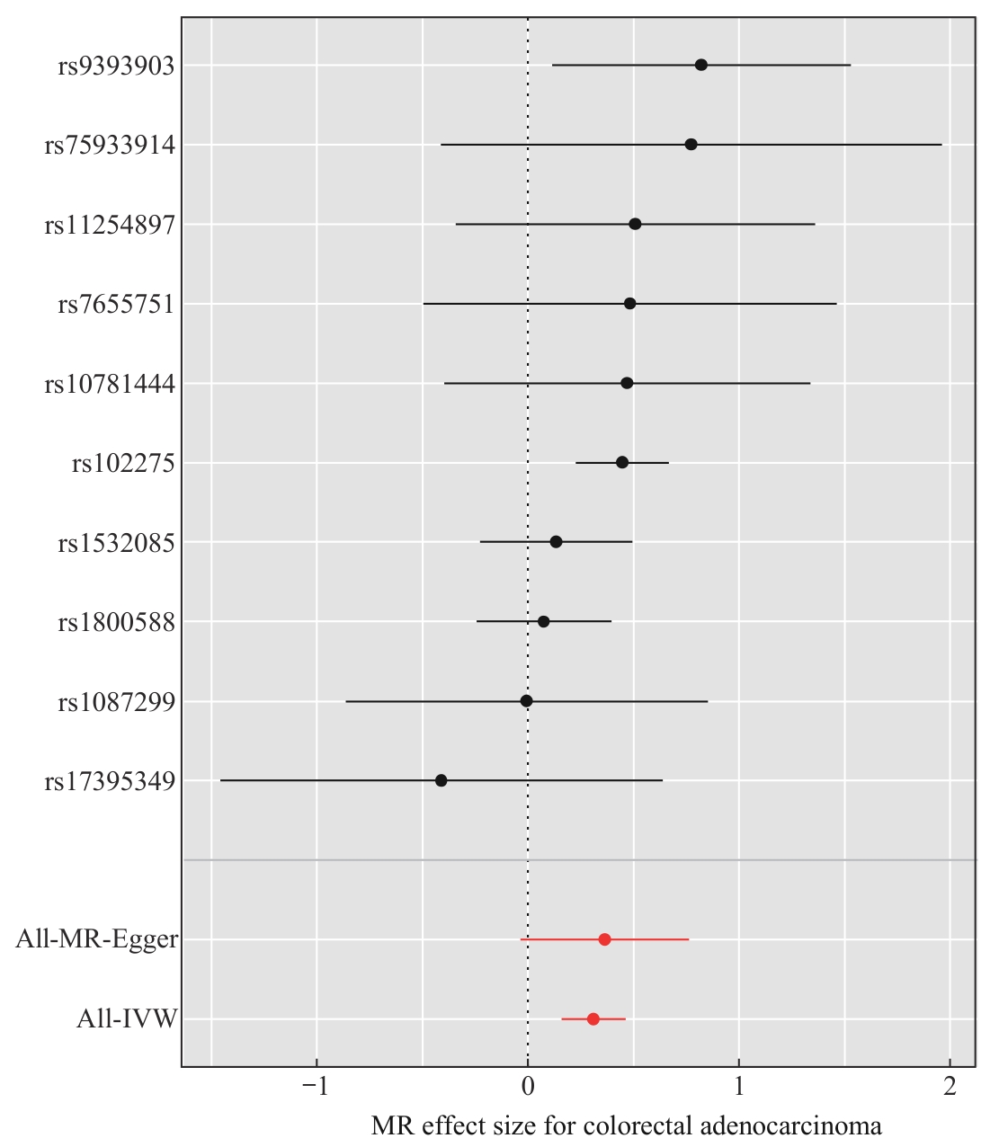
| SNP | β | SE | P value |
|---|---|---|---|
| rs102275 | 0.45 | 0.11 | 8.01×10-5 |
| rs10781444 | 0.47 | 0.44 | 2.89×10-1 |
| rs1087299 | -0.01 | 0.44 | 9.87×10-1 |
| rs11254897 | 0.51 | 0.43 | 2.42×10-1 |
| rs1532085 | 0.13 | 0.18 | 4.70×10-1 |
| rs17395349 | -0.41 | 0.53 | 4.42×10-1 |
| rs1800588 | 0.07 | 0.16 | 6.48×10-1 |
| rs75933914 | 0.77 | 0.61 | 2.01×10-1 |
| rs7655751 | 0.48 | 0.50 | 3.34×10-1 |
| rs9393903 | 0.82 | 0.36 | 2.31×10-2 |
| All IVW | 0.31 | 0.08 | 7.24×10-5 |
| All MR-Egger | 0.36 | 0.20 | 1.12×10-1 |
Tab 2 Effect of single and combined SNPs on colorectal adenocarcinoma risk
| SNP | β | SE | P value |
|---|---|---|---|
| rs102275 | 0.45 | 0.11 | 8.01×10-5 |
| rs10781444 | 0.47 | 0.44 | 2.89×10-1 |
| rs1087299 | -0.01 | 0.44 | 9.87×10-1 |
| rs11254897 | 0.51 | 0.43 | 2.42×10-1 |
| rs1532085 | 0.13 | 0.18 | 4.70×10-1 |
| rs17395349 | -0.41 | 0.53 | 4.42×10-1 |
| rs1800588 | 0.07 | 0.16 | 6.48×10-1 |
| rs75933914 | 0.77 | 0.61 | 2.01×10-1 |
| rs7655751 | 0.48 | 0.50 | 3.34×10-1 |
| rs9393903 | 0.82 | 0.36 | 2.31×10-2 |
| All IVW | 0.31 | 0.08 | 7.24×10-5 |
| All MR-Egger | 0.36 | 0.20 | 1.12×10-1 |
| Outcome | MR method | OR (95%CI) | P value | P value (Cochran′s Q) |
|---|---|---|---|---|
| Colorectal adenocarcinoma | IVW | 1.36 (1.17‒1.59) | 7.24×10-5 | 0.363 |
| Colorectal adenocarcinoma | MR-Egger | 1.44 (0.97‒2.14) | 1.12×10-1 | 0.283 |
| Colorectal adenocarcinoma | WME | 1.33 (1.07‒1.65) | 8.81×10-3 | ‒ |
| Colorectal adenocarcinoma | WM | 1.41 (1.12‒1.77) | 1.70×10-2 | ‒ |
Tab 3 Causal relationship between SNPs associated with plasma PE and the risk of colorectal adenocarcinoma estimated by TSMR
| Outcome | MR method | OR (95%CI) | P value | P value (Cochran′s Q) |
|---|---|---|---|---|
| Colorectal adenocarcinoma | IVW | 1.36 (1.17‒1.59) | 7.24×10-5 | 0.363 |
| Colorectal adenocarcinoma | MR-Egger | 1.44 (0.97‒2.14) | 1.12×10-1 | 0.283 |
| Colorectal adenocarcinoma | WME | 1.33 (1.07‒1.65) | 8.81×10-3 | ‒ |
| Colorectal adenocarcinoma | WM | 1.41 (1.12‒1.77) | 1.70×10-2 | ‒ |
| 1 | SIEGEL R L, MILLER K D, WAGLE N S, et al. Cancer statistics, 2023[J]. CA Cancer J Clin, 2023, 73(1): 17-48. |
| 2 | HOFMANOVÁ J, SLAVÍK J, OVESNÁ P, et al. Phospholipid profiling enables to discriminate tumor- and non-tumor-derived human colon epithelial cells: phospholipidome similarities and differences in colon cancer cell lines and in patient-derived cell samples[J]. PLoS One, 2020, 15(1): e0228010. |
| 3 | STOICA C, FERREIRA A K, HANNAN K, et al. Bilayer forming phospholipids as targets for cancer therapy[J]. Int J Mol Sci, 2022, 23(9): 5266. |
| 4 | KENNY T C, SCHARENBERG S, ABU-REMAILEH M, et al. Cellular and organismal function of choline metabolism[J]. Nat Metab, 2025, 7(1): 35-52. |
| 5 | VAN DER VEEN J N, KENNELLY J P, WAN S, et al. The critical role of phosphatidylcholine and phosphatidylethanolamine metabolism in health and disease[J]. Biochim Biophys Acta Biomembr, 2017, 1859(9 Pt B): 1558-1572. |
| 6 | NAUDIN S, SAMPSON J N, MOORE S C, et al. Lipidomics and pancreatic cancer risk in two prospective studies[J]. Eur J Epidemiol, 2023, 38(7): 783-793. |
| 7 | WANG Y Z, GUO F, GUO Y K, et al. Untargeted lipidomics reveals specific lipid abnormalities in systemic lupus erythematosus[J]. Clin Exp Rheumatol, 2022, 40(5): 1011-1018. |
| 8 | BUTLER F M, UTT J, MATHEW R O, et al. Plasma metabolomics profiles in Black and White participants of the Adventist Health Study-2 cohort[J]. BMC Med, 2023, 21(1): 408. |
| 9 | JEZIORNY K, PIETROWSKA K, SIEMINSKA J, et al. Serum metabolomics identified specific lipid compounds which may serve as markers of disease progression in patients with Alström and Bardet-Biedl syndromes[J]. Front Mol Biosci, 2023, 10: 1251905. |
| 10 | GESTA S, TSENG Y H, RONALD KAHN C. Developmental origin of fat: tracking obesity to its source[J]. Cell, 2007, 131(2): 242-256. |
| 11 | XIE P S, ZHANG H N, WU P F, et al. Three-dimensional mass spectrometry imaging reveals distributions of lipids and the drug metabolite associated with the enhanced growth of colon cancer cell spheroids treated with triclosan[J]. Anal Chem, 2022, 94(40): 13667-13675. |
| 12 | ELMALLAH M I Y, ORTEGA-DEBALLON P, HERMITE L, et al. Lipidomic profiling of exosomes from colorectal cancer cells and patients reveals potential biomarkers[J]. Mol Oncol, 2022, 16(14): 2710-2718. |
| 13 | MIKA A, PAKIET A, CZUMAJ A, et al. Decreased triacylglycerol content and elevated contents of cell membrane lipids in colorectal cancer tissue: a lipidomic study[J]. J Clin Med, 2020, 9(4): 1095. |
| 14 | LIU J, DE VRIES P S, DEL GRECO M F, et al. A multi-omics study of circulating phospholipid markers of blood pressure[J]. Sci Rep, 2022, 12(1): 574. |
| 15 | CAO Y C, AI M C, LIU C J. The impact of lipidome on breast cancer: a Mendelian randomization study[J]. Lipids Health Dis, 2024, 23(1): 109. |
| 16 | FAN Z. A two-sample Mendelian randomization study of lipidome and lung cancer[J]. J Pharm Biomed Anal, 2025, 252: 116514. |
| 17 | CHEN Y Q, TORTA F, KOH H W L, et al. Metabolomics profiling in multi-ancestral individuals with type 2 diabetes in Singapore identified metabolites associated with renal function decline[J]. Diabetologia, 2025, 68(3): 557-575. |
| 18 | HUANG Y, STINSON S E, THODBERG M, et al. Genetic factors shaping the plasma lipidome and the relations to cardiometabolic risk in children and adolescents[J]. EBioMedicine, 2025, 112: 105537. |
| 19 | BURGESS S, DAVEY SMITH G, DAVIES N M, et al. Guidelines for performing mendelian randomization investigations: update for summer 2023[J]. Wellcome Open Res, 2023, 4: 186. |
| 20 | HEMANI G, ZHENG J, ELSWORTH B, et al. The MR-Base platform supports systematic causal inference across the human phenome[J]. eLife, 2018, 7: e34408. |
| 21 | ELSWORTH B, LYON M, ALEXANDER T, et al. The MRC IEU OpenGWAS data infrastructure[DB/OL]. (2020-08-10)[2024-12-26]. https://www.biorxiv.org/content/10.1101/2020.08.10.244293v1. |
| 22 | WOOTTON R E, LAWN R B, MILLARD L A C, et al. Evaluation of the causal effects between subjective wellbeing and cardiometabolic health: mendelian randomisation study[J]. BMJ, 2018, 362: k3788. |
| 23 | 刘明, 高亚, 杨珂璐, 等. 孟德尔随机化研究的报告规范(STROBE-MR)解读[J]. 中国循证医学杂志, 2022, 22(8): 978-987. |
| LIU M, GAO Y, YANG K L, et al. Interpretation of STROBE-MR: a statement for strengthening the reporting of observational studies in epidemiology using Mendelian randomization[J]. Chinese Journal of Evidence-Based Medicine, 2022, 22(8): 978-987. | |
| 24 | BURGESS S, THOMPSON S G, CHD GENETICS COLLABORATION C R P. Avoiding bias from weak instruments in Mendelian randomization studies[J]. Int J Epidemiol, 2011, 40(3): 755-764. |
| 25 | BOWDEN J, DAVEY SMITH G, HAYCOCK P C, et al. Consistent estimation in mendelian randomization with some invalid instruments using a weighted Median estimator[J]. Genet Epidemiol, 2016, 40(4): 304-314. |
| 26 | DENG L, HUANG-FU Y C, MA Y H. Dietary nutrients involved in one-carbon metabolism and colorectal cancer risk[J]. LabMed Discov, 2024, 1(2): 100022. |
| 27 | BIAN X L, LIU R, MENG Y, et al. Lipid metabolism and cancer[J]. J Exp Med, 2021, 218(1): e20201606. |
| 28 | PETKEVICIUS K, PALMGREN H, GLOVER M S, et al. TLCD1 and TLCD2 regulate cellular phosphatidylethanolamine composition and promote the progression of non-alcoholic steatohepatitis[J]. Nat Commun, 2022, 13(1): 6020. |
| 29 | TAVASOLI M, LAHIRE S, REID T, et al. Genetic diseases of the Kennedy pathways for membrane synthesis[J]. J Biol Chem, 2020, 295(51): 17877-17886. |
| 30 | DAS S, CASTILLO C, STEVENS T. Phospholipid remodeling/generation in Giardia: the role of the lands cycle[J]. Trends Parasitol, 2001, 17(7): 316-319. |
| 31 | BARTOLACCI C, ANDREANI C, VALE G, et al. Targeting de novo lipogenesis and the Lands cycle induces ferroptosis in KRAS-mutant lung cancer[J]. Nat Commun, 2022, 13(1): 4327. |
| 32 | CIKES D, ELSAYAD K, SEZGIN E, et al. PCYT2-regulated lipid biosynthesis is critical to muscle health and ageing[J]. Nat Metab, 2023, 5(3): 495-515. |
| 33 | FU G T, GUY C S, CHAPMAN N M, et al. Metabolic control of Tfh cells and humoral immunity by phosphatidylethanolamine[J]. Nature, 2021, 595(7869): 724-729. |
| 34 | PING Y, SHAN J Q, QIN H M, et al. PD-1 signaling limits expression of phospholipid phosphatase 1 and promotes intratumoral CD8+ T cell ferroptosis[J]. Immunity, 2024, 57(9): 2122-2139.e9. |
| 35 | LAINS I, ZHU S J, HAN X K, et al. Genomic-metabolomic associations support the role of LIPC and glycerophospholipids in age-related macular degeneration[J]. Ophthalmol Sci, 2021, 1(1): 100017. |
| 36 | MANOLIO T A. Cohort studies and the genetics of complex disease[J]. Nat Genet, 2009, 41(1): 5-6. |
| 37 | GUERRA R, WANG J, GRUNDY S M, et al. A hepatic lipase (LIPC) allele associated with high plasma concentrations of high density lipoprotein cholesterol[J]. Proc Natl Acad Sci USA, 1997, 94(9): 4532-4537. |
| 38 | KANG Y P, YOON J H, LONG N P, et al. Spheroid-induced epithelial-mesenchymal transition provokes global alterations of breast cancer lipidome: a multi-layered omics analysis[J]. Front Oncol, 2019, 9: 145. |
| 39 | JEONG D, HAM J, KIM H W, et al. ELOVL2: a novel tumor suppressor attenuating tamoxifen resistance in breast cancer[J]. Am J Cancer Res, 2021, 11(6): 2568-2589. |
| 40 | DE ANTUENO R J, KNICKLE L C, SMITH H, et al. Activity of human Delta5 and Delta6 desaturases on multiple n-3 and n-6 polyunsaturated fatty acids[J]. FEBS Lett, 2001, 509(1): 77-80. |
| 41 | COLTELL O, SORLÍ J V, ASENSIO E M, et al. Genome-wide association study for serum omega-3 and omega-6 polyunsaturated fatty acids: exploratory analysis of the sex-specific effects and dietary modulation in Mediterranean subjects with metabolic syndrome[J]. Nutrients, 2020, 12(2): 310. |
| 42 | SAJUTHI S P, SHARMA N K, COMEAU M E, et al. Genetic regulation of adipose tissue transcript expression is involved in modulating serum triglyceride and HDL-cholesterol[J]. Gene, 2017, 632: 50-58. |
| 43 | KOLODZIEJSKI P A, PRUSZYNSKA-OSZMALEK E, SASSEK M, et al. Changes in obestatin gene and GPR39 receptor expression in peripheral tissues of rat models of obesity, type 1 and type 2 diabetes[J]. J Diabetes, 2017, 9(4): 353-361. |
| 44 | DOBOSZEWSKA U, MARET W, WLAŹ P. GPR39 deorphanization: the long and winding road to eicosanoids and a crosstalk between GPR39 and hedgehog signaling in angiogenesis[J]. Proc Natl Acad Sci USA, 2023, 120(28): e2308227120. |
| 45 | PARK R, LEE S, CHIN H, et al. Tumor-promoting role of GNA14 in colon cancer development[J]. Cancers (Basel), 2023, 15(18): 4572. |
| 46 | FAN H, WANG R, WEN B, et al. Biomarkers and potential therapeutic targets driving progression of non-alcoholic steatohepatitis to hepatocellular carcinoma predicted through transcriptomic analysis[J]. Front Immunol, 2024, 15: 1502263. |
| 47 | SKRIVANKOVA V W, RICHMOND R C, WOOLF B A R, et al. Strengthening the reporting of observational studies in epidemiology using mendelian randomization: the STROBE-MR statement[J]. JAMA, 2021, 326(16): 1614-1621. |
| [1] | HAN Longchuan, LI Yue, ZOU Zhihui, LUO Jing, LI Ruoyi, ZHANG Yingting, TANG Xinxin, TIAN Lihong, LU Yuheng, HUANG Ying, HE Ming, FU Yinkun. Phosphatidylethanolamine promotes macrophage senescence and liver injury by activating endoplasmic reticulum stress [J]. Journal of Shanghai Jiao Tong University (Medical Science), 2025, 45(6): 693-704. |
| [2] | Ning XU, Tian ZHOU, Guo-jun HOU, Nan SHEN, Yuan-jia TANG. Application of CRISPR/Cas9-mediated homologous recombination to the functional study of disease-associated genetic variants located in non-coding region [J]. JOURNAL OF SHANGHAI JIAOTONG UNIVERSITY (MEDICAL SCIENCE), 2021, 41(1): 8-15. |
| [3] | WEI Yi-ran, MA Xiong, TANG Ru-qi . Progress in genetics of autoimmune hepatitis#br# [J]. , 2017, 37(9): 1287-. |
| [4] | GAO Run-ying, WU Ke, ZHU Jie, CAI Mei-qin . Study on the phospholipid composition of human milk at different lactation stages [J]. , 2017, 37(8): 1151-. |
| [5] | SONG Li-wei, WANG Wen-yue, ZOU Xiu-qun, et al. Relationship between expression of specificity protein 1 of colorectal adenocarcinoma and clinicopathological parameters [J]. , 2014, 34(7): 973-. |
| [6] | WU Qi-jun, XU Jian-feng, SHI Rong. Research progress of susceptible genes and genetic epidemiology of prostate cancer [J]. , 2011, 31(5): 672-. |
| Viewed | ||||||
|
Full text |
|
|||||
|
Abstract |
|
|||||