Journal of Shanghai Jiao Tong University (Medical Science) ›› 2026, Vol. 46 ›› Issue (3): 265-274.doi: 10.3969/j.issn.1674-8115.2026.03.001

• Basic research •    

Preliminary study on a mechanics-parameter-based strategy for real-time vascular angle prediction and safety warning in vascular interventional robots

Jia Yuanwang1,2, Qu Ming3, Xin Ran4,1, Liu Zinuan1, Yang Shiyi5, Kang Wen3, Wang Weiran1, Liu Xiao5, Yang Junjie1(), Chen Yundai1()   

  1. 1.Senior Department of Cardiology, The Sixth Medical Center of PLA General Hospital, Beijing 100048, China
    2.Medical School of Chinese PLA, Beijing 100853, China
    3.School of Mathematics and Statistics, Beijing Institute of Technology, Beijing 100081, China
    4.School of Medicine, Nankai University, Tianjin 300071, China
    5.School of Biological Science and Medical Engineering, Beihang University, Beijing 100083, China
  • Received:2025-07-27 Accepted:2025-11-21 Online:2026-03-28 Published:2026-03-30
  • Contact: Yang Junjie, Chen Yundai E-mail:fearlessyang@126.com;cyundai@vip.163.com
  • Supported by:
    National Natural Science Foundation of China(82470342,12361141817,62273046);Beijing Nova Program(20230484471)

Abstract:

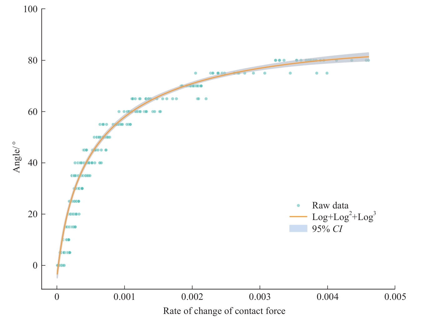
Objective ·This study addresses the challenges of multimodal perception deficiencies and X-ray radiation dependency in vascular interventional robots. It investigated the mechanical characteristics of guidewire-vessel wall contact forces across varying vascular bending angles and established a contact force-angle mapping model to develop a novel robotic-assisted strategy integrating real-time vascular angle prediction and safety warning based on mechanical parameters. Methods ·An in vitro vascular model (bending angles: 0°‒80° at 5° intervals) was deployed on the R-One robotic platform. A force-sensing guidewire was advanced at 6 mm/s through curved segments. Using temporal registration, dynamic contact force variation trends (quantified as the rate of change) were extracted during the initial 2s traversal window. The correlation between vascular bending angles and variation rates was quantified. Based on this, a mapping model between contact force trends and vascular angles was constructed and evaluated using root mean squared error (RMSE) and mean absolute error (MAE). Results ·A very strong positive correlation was observed between vascular bending angle and the rate of change in guidewire contact force during the initial phase of traversal through the bend (rs =0.98, P<0.001). This relationship exhibited distinct phases relative to the 0° baseline: the rate remained stable within the 0°‒25°, with no statistically significant differences; a significant increase first appeared at 30° (P.adj<0.05); beyond 50°, the rate of increase accelerated markedly, accompanied by a sharp enhancement in statistical significance (P.adj decreasing from 10-5 to 10-8). By 80°, the rate of change in contact force increased by 24, 392.4%. Bayesian Information Criterion (BIC)-based changepoint analysis identified critical transition points at 35.60° and 50.65°, which closely align with the empirical thresholds of 30° and 50°, further confirming the structural nature of the relationship. The contact force-angle mapping model developed based on this relationship demonstrated excellent performance (R2=0.96, RMSE=4.93°, MAE=3.73°), significantly outperforming a conventional linear model (R2=0.89, RMSE=7.66°, MAE=5.03°). Conclusion ·In the in vitro model, the rate of change of contact force during the initial phase of guidewire entry into a curved segment exhibited a significant positive correlation with vascular bending angle, characterized by distinct phase transitions and critical inflection points. Based on this feature, a contact force-angle mapping model was established, which outperformed the traditional linear model. This study preliminarily validates the feasibility of inferring vascular anatomical structures from mechanical characteristics, providing a theoretical basis for mechanics-based safety warning and auxiliary navigation.

Key words: vascular interventional robot, force feedback, rate of change of contact force, vascular curvature, safety warning and navigation

CLC Number: