
Journal of Shanghai Jiao Tong University (Medical Science) ›› 2025, Vol. 45 ›› Issue (1): 42-50.doi: 10.3969/j.issn.1674-8115.2025.01.005
• Clinical research • Previous Articles Next Articles
LU Jiaping1(
), LIU Xing2(
), ZHANG Linshan2, ZHAO Lin2, ZHANG Min1, LI Xiaoying2, LIU Yuejun2(
)
Received:2024-07-09
Accepted:2024-10-15
Online:2025-01-28
Published:2025-01-28
Contact:
LIU Yuejun
E-mail:lujiaping_1993@hotmail.com;liu.xing@zs-hospital.sh.cn;liu.yuejun@zs-hospital.sh.cn
Supported by:CLC Number:
LU Jiaping, LIU Xing, ZHANG Linshan, ZHAO Lin, ZHANG Min, LI Xiaoying, LIU Yuejun. Relationship between abdominal fat area and first-phase insulin secretion function of pancreatic β-cells in patients with type 2 diabetes[J]. Journal of Shanghai Jiao Tong University (Medical Science), 2025, 45(1): 42-50.
Add to citation manager EndNote|Ris|BibTeX
URL: https://xuebao.shsmu.edu.cn/EN/10.3969/j.issn.1674-8115.2025.01.005
| Item | Preserved group (n=74) | Depleted group (n=46) | P value |
|---|---|---|---|
| Age/year | 54.0 (47.8, 64.0) | 60.0 (50.5, 67.3) | 0.096 |
| Male/n(%) | 52 (70.3) | 26 (56.5) | 0.125 |
| Hypertension/n(%) | 36 (48.6) | 26 (56.5) | 0.401 |
| Dyslipidemia/n(%) | 64 (86.5) | 37 (80.4) | 0.529 |
| Abdominal obesity/n(%) | 57 (77.0) | 22 (47.8) | <0.001 |
| MetS score/n(%) | 0.036 | ||
| 1 point or 2 points | 15 (20.3) | 19 (41.3) | |
| 3 points | 31 (41.9) | 12 (26.1) | |
| 4 points | 28 (37.8) | 15 (32.6) | |
| Diabetes duration/year | 5.00 (0, 10.00) | 10.00 (4.00, 20.00) | <0.001 |
| Treated with insulin/n(%) | 21 (28.4) | 21 (45.7) | 0.054 |
| Waist circumference/cm | 93.20±8.46 | 88.47±8.75 | 0.004 |
| Hip circumference/cm | 99.74±6.05 | 94.98±7.83 | <0.001 |
| Waist-to-hip ratio | 0.93±0.06 | 0.93±0.06 | 0.848 |
| Weight/kg | 74.22±10.75 | 67.40±11.33 | 0.001 |
| BMI/(kg | 25.46 (24.10, 27.75) | 23.71 (22.70, 25.99) | 0.002 |
| FPG/( | 7.60 (6.30, 9.90) | 8.15 (6.28, 10.90) | 0.492 |
| Fasting insulin/(pmol | 64.58 (38.19, 88.89) | 42.36 (18.40, 64.24) | 0.006 |
| Fasting C-peptide/(ng | 2.31 (1.62, 2.86) | 1.78 (1.09, 2.26) | 0.003 |
| HOMA-IR | 2.73 (1.96, 4.60) | 1.82 (1.19, 2.63) | 0.016 |
| HOMA-β | 44.64 (25.29, 73.03) | 26.32 (8.80, 66.71) | 0.082 |
| 2 h-PG/(mmol·L-1) | 11.10 (8.90, 14.20) | 11.20 (9.05, 14.45) | 0.779 |
| 2 h-insulin/(pmol·L-1) | 165.58 (81.94, 254.17) | 138.89 (57.99, 211.46) | 0.268 |
| 2 h-C-peptide/(ng·mL-1) | 4.61 (2.89, 6.43) | 3.29 (2.10, 5.03) | 0.120 |
| GA/% | 22.05 (17.93, 28.55) | 25.80 (20.20, 31.20) | 0.086 |
| HbA1C/% | 9.35 (7.68, 10.78) | 9.90 (8.45, 11.40) | 0.089 |
| ALT/(U·L-1) | 18.50 (13.75, 33.50) | 17.00 (10.75, 25.25) | 0.075 |
| AST/(U·L-1) | 18.00 (14.00, 27.35) | 15.00 (12.00, 23.25) | 0.068 |
| GGT/(U·L-1) | 26.50 (18.75, 47.50) | 22.00 (15.00, 32.50) | 0.091 |
| TBA/(μ | 3.30 (2.15, 5.20) | 3.10 (1.80, 4.33) | 0.444 |
| Scr/(μ | 68.00 (60.00, 81.00) | 68.50 (56.75, 82.00) | 0.885 |
| eGFR/[mL·(min | 98.00 (83.00, 108.00) | 92.00 (80.00, 102.75) | 0.232 |
| UA/(μ | 337.00 (274.00, 403.00) | 284.00 (241.75, 354.00) | 0.049 |
| 24 h-UAE/[mg | 15.85 (8.99, 24.19) | 19.75 (11.26, 32.99) | 0.125 |
| TC/( | 4.57±1.11 | 4.56±0.92 | 0.956 |
| TAG/( | 1.62 (1.27, 2.26) | 1.55 (1.05, 2.17) | 0.473 |
| LDL-C/( | 2.67±0.96 | 2.66±0.86 | 0.934 |
| NHDL-C/( | 3.34 (2.82, 4.17) | 3.52 (2.64, 4.04) | 0.987 |
| HDL-C/( | 1.05 (0.91, 1.18) | 1.08 (0.96, 1.24) | 0.308 |
| FFA/( | 0.54 (0.43, 0.61) | 0.47 (0.33, 0.62) | 0.088 |
| Adipo-IR | 4.22 (2.71, 7.11) | 3.11 (1.45,6.25) | 0.040 |
| FT3/(pmol·L-1) | 4.50 (4.10, 4.90) | 4.20 (3.65, 4.55) | 0.001 |
| FT4/(pmol·L-1) | 16.59±2.78 | 16.99±2.10 | 0.405 |
| TSH/(mIU·L-1) | 1.76 (1.10, 2.08) | 1.43 (1.06, 2.36) | 0.359 |
| CRP/(mg·L-1) | 1.05 (0.53, 2.08) | 0.90 (0.58, 2.25) | 0.871 |
| SAA/(mg·L-1) | 3.50 (3.33, 4.25) | 3.50 (3.20, 5.43) | 0.993 |
| ESR/(mm·h-1) | 7.00 (4.00, 13.00) | 10.00 (3.50, 15.00) | 0.385 |
| IMT≥1.0 mm/n(%) | 14 (22.2) | 10 (26.3) | 0.640 |
| baPWV/(m·s-1) | 15.41 (13.57, 17.83) | 17.63 (14.18, 22.19) | 0.009 |
| ABI | 1.16 (1.08, 1.22) | 1.12 (1.06, 1.17) | 0.033 |
| CAP/(dB·m-1) | 275.68±52.84 | 267.00±59.18 | 0.478 |
| LSM/kPa | 5.65 (4.50, 6.55) | 5.25 (4.33, 6.23) | 0.415 |
| VFA/cm2 | 81.91±30.81 | 64.50±29.21 | 0.003 |
| SFA/cm2 | 186.30 (156.40, 227.70) | 151.95 (127.15, 190.55) | <0.001 |
Tab 1 Comparison of clinical and biological parameters between the insulin secretion function-preserved group and the depleted group
| Item | Preserved group (n=74) | Depleted group (n=46) | P value |
|---|---|---|---|
| Age/year | 54.0 (47.8, 64.0) | 60.0 (50.5, 67.3) | 0.096 |
| Male/n(%) | 52 (70.3) | 26 (56.5) | 0.125 |
| Hypertension/n(%) | 36 (48.6) | 26 (56.5) | 0.401 |
| Dyslipidemia/n(%) | 64 (86.5) | 37 (80.4) | 0.529 |
| Abdominal obesity/n(%) | 57 (77.0) | 22 (47.8) | <0.001 |
| MetS score/n(%) | 0.036 | ||
| 1 point or 2 points | 15 (20.3) | 19 (41.3) | |
| 3 points | 31 (41.9) | 12 (26.1) | |
| 4 points | 28 (37.8) | 15 (32.6) | |
| Diabetes duration/year | 5.00 (0, 10.00) | 10.00 (4.00, 20.00) | <0.001 |
| Treated with insulin/n(%) | 21 (28.4) | 21 (45.7) | 0.054 |
| Waist circumference/cm | 93.20±8.46 | 88.47±8.75 | 0.004 |
| Hip circumference/cm | 99.74±6.05 | 94.98±7.83 | <0.001 |
| Waist-to-hip ratio | 0.93±0.06 | 0.93±0.06 | 0.848 |
| Weight/kg | 74.22±10.75 | 67.40±11.33 | 0.001 |
| BMI/(kg | 25.46 (24.10, 27.75) | 23.71 (22.70, 25.99) | 0.002 |
| FPG/( | 7.60 (6.30, 9.90) | 8.15 (6.28, 10.90) | 0.492 |
| Fasting insulin/(pmol | 64.58 (38.19, 88.89) | 42.36 (18.40, 64.24) | 0.006 |
| Fasting C-peptide/(ng | 2.31 (1.62, 2.86) | 1.78 (1.09, 2.26) | 0.003 |
| HOMA-IR | 2.73 (1.96, 4.60) | 1.82 (1.19, 2.63) | 0.016 |
| HOMA-β | 44.64 (25.29, 73.03) | 26.32 (8.80, 66.71) | 0.082 |
| 2 h-PG/(mmol·L-1) | 11.10 (8.90, 14.20) | 11.20 (9.05, 14.45) | 0.779 |
| 2 h-insulin/(pmol·L-1) | 165.58 (81.94, 254.17) | 138.89 (57.99, 211.46) | 0.268 |
| 2 h-C-peptide/(ng·mL-1) | 4.61 (2.89, 6.43) | 3.29 (2.10, 5.03) | 0.120 |
| GA/% | 22.05 (17.93, 28.55) | 25.80 (20.20, 31.20) | 0.086 |
| HbA1C/% | 9.35 (7.68, 10.78) | 9.90 (8.45, 11.40) | 0.089 |
| ALT/(U·L-1) | 18.50 (13.75, 33.50) | 17.00 (10.75, 25.25) | 0.075 |
| AST/(U·L-1) | 18.00 (14.00, 27.35) | 15.00 (12.00, 23.25) | 0.068 |
| GGT/(U·L-1) | 26.50 (18.75, 47.50) | 22.00 (15.00, 32.50) | 0.091 |
| TBA/(μ | 3.30 (2.15, 5.20) | 3.10 (1.80, 4.33) | 0.444 |
| Scr/(μ | 68.00 (60.00, 81.00) | 68.50 (56.75, 82.00) | 0.885 |
| eGFR/[mL·(min | 98.00 (83.00, 108.00) | 92.00 (80.00, 102.75) | 0.232 |
| UA/(μ | 337.00 (274.00, 403.00) | 284.00 (241.75, 354.00) | 0.049 |
| 24 h-UAE/[mg | 15.85 (8.99, 24.19) | 19.75 (11.26, 32.99) | 0.125 |
| TC/( | 4.57±1.11 | 4.56±0.92 | 0.956 |
| TAG/( | 1.62 (1.27, 2.26) | 1.55 (1.05, 2.17) | 0.473 |
| LDL-C/( | 2.67±0.96 | 2.66±0.86 | 0.934 |
| NHDL-C/( | 3.34 (2.82, 4.17) | 3.52 (2.64, 4.04) | 0.987 |
| HDL-C/( | 1.05 (0.91, 1.18) | 1.08 (0.96, 1.24) | 0.308 |
| FFA/( | 0.54 (0.43, 0.61) | 0.47 (0.33, 0.62) | 0.088 |
| Adipo-IR | 4.22 (2.71, 7.11) | 3.11 (1.45,6.25) | 0.040 |
| FT3/(pmol·L-1) | 4.50 (4.10, 4.90) | 4.20 (3.65, 4.55) | 0.001 |
| FT4/(pmol·L-1) | 16.59±2.78 | 16.99±2.10 | 0.405 |
| TSH/(mIU·L-1) | 1.76 (1.10, 2.08) | 1.43 (1.06, 2.36) | 0.359 |
| CRP/(mg·L-1) | 1.05 (0.53, 2.08) | 0.90 (0.58, 2.25) | 0.871 |
| SAA/(mg·L-1) | 3.50 (3.33, 4.25) | 3.50 (3.20, 5.43) | 0.993 |
| ESR/(mm·h-1) | 7.00 (4.00, 13.00) | 10.00 (3.50, 15.00) | 0.385 |
| IMT≥1.0 mm/n(%) | 14 (22.2) | 10 (26.3) | 0.640 |
| baPWV/(m·s-1) | 15.41 (13.57, 17.83) | 17.63 (14.18, 22.19) | 0.009 |
| ABI | 1.16 (1.08, 1.22) | 1.12 (1.06, 1.17) | 0.033 |
| CAP/(dB·m-1) | 275.68±52.84 | 267.00±59.18 | 0.478 |
| LSM/kPa | 5.65 (4.50, 6.55) | 5.25 (4.33, 6.23) | 0.415 |
| VFA/cm2 | 81.91±30.81 | 64.50±29.21 | 0.003 |
| SFA/cm2 | 186.30 (156.40, 227.70) | 151.95 (127.15, 190.55) | <0.001 |
| Item | β | OR (95%CI) | P value |
|---|---|---|---|
| Model 1 | |||
| Diabetes duration | 0.052 | 1.053 (0.986‒1.124) | 0.121 |
| ABI×10 | -0.600 | 0.549 (0.321‒0.939) | 0.028 |
| baPWV | 0.149 | 1.160 (1.011‒1.331) | 0.034 |
| SFA | -0.012 | 0.988 (0.978‒0.997) | 0.012 |
| Model 2 | |||
| Diabetes duration | 0.052 | 1.054 (0.979‒1.135) | 0.166 |
| Fasting C-peptide | -0.396 | 0.673 (0.385‒1.177) | 0.165 |
| UA | -0.002 | 0.998 (0.993‒1.003) | 0.425 |
| FT3 | -1.098 | 0.333 (0.145‒0.769) | 0.010 |
| ABI×10 | -0.622 | 0.537 (0.303‒0.951) | 0.033 |
| baPWV | 0.185 | 1.203 (1.029‒1.406) | 0.020 |
| SFA | -0.010 | 0.990 (0.980‒1.001) | 0.076 |
| Model 3 | |||
| Diabetes duration | 0.056 | 1.057 (0.990‒1.129) | 0.096 |
| ABI×10 | -0.695 | 0.499 (0.285‒0.874) | 0.015 |
| baPWV | 0.159 | 1.172 (1.020‒1.347) | 0.025 |
| VFA | -0.026 | 0.974 (0.957‒0.992) | 0.005 |
| Model 4 | |||
| Diabetes duration | 0.058 | 1.060 (0.983‒1.143) | 0.130 |
| Fasting C-peptide | -0.459 | 0.632 (0.361‒1.108) | 0.109 |
| UA | -0.001 | 0.999 (0.994‒1.004) | 0.753 |
| FT3 | -1.057 | 0.348 (0.154‒0.783) | 0.011 |
| ABI×10 | -0.689 | 0.502 (0.279‒0.903) | 0.021 |
| baPWV | 0.198 | 1.219 (1.040‒1.428) | 0.015 |
| VFA | -0.022 | 0.978 (0.957‒0.999) | 0.036 |
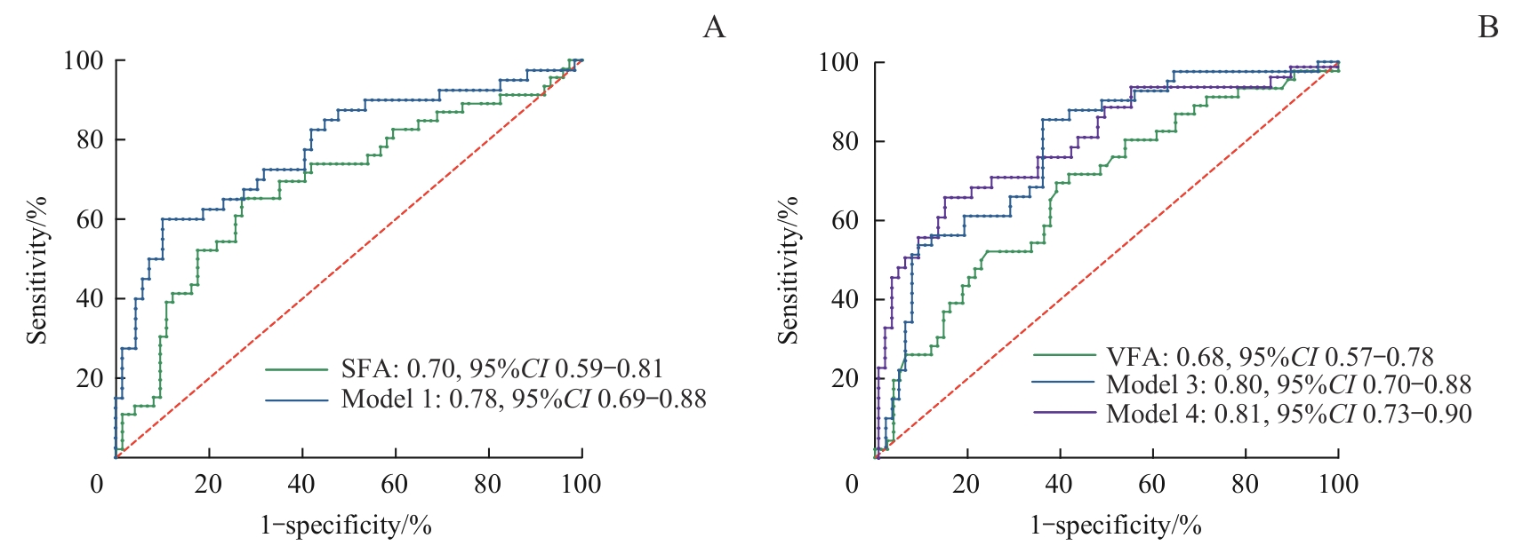
Tab 2 Multivariate Logistic regression analysis of depleted first-phase insulin secretion function of β-cells
| Item | β | OR (95%CI) | P value |
|---|---|---|---|
| Model 1 | |||
| Diabetes duration | 0.052 | 1.053 (0.986‒1.124) | 0.121 |
| ABI×10 | -0.600 | 0.549 (0.321‒0.939) | 0.028 |
| baPWV | 0.149 | 1.160 (1.011‒1.331) | 0.034 |
| SFA | -0.012 | 0.988 (0.978‒0.997) | 0.012 |
| Model 2 | |||
| Diabetes duration | 0.052 | 1.054 (0.979‒1.135) | 0.166 |
| Fasting C-peptide | -0.396 | 0.673 (0.385‒1.177) | 0.165 |
| UA | -0.002 | 0.998 (0.993‒1.003) | 0.425 |
| FT3 | -1.098 | 0.333 (0.145‒0.769) | 0.010 |
| ABI×10 | -0.622 | 0.537 (0.303‒0.951) | 0.033 |
| baPWV | 0.185 | 1.203 (1.029‒1.406) | 0.020 |
| SFA | -0.010 | 0.990 (0.980‒1.001) | 0.076 |
| Model 3 | |||
| Diabetes duration | 0.056 | 1.057 (0.990‒1.129) | 0.096 |
| ABI×10 | -0.695 | 0.499 (0.285‒0.874) | 0.015 |
| baPWV | 0.159 | 1.172 (1.020‒1.347) | 0.025 |
| VFA | -0.026 | 0.974 (0.957‒0.992) | 0.005 |
| Model 4 | |||
| Diabetes duration | 0.058 | 1.060 (0.983‒1.143) | 0.130 |
| Fasting C-peptide | -0.459 | 0.632 (0.361‒1.108) | 0.109 |
| UA | -0.001 | 0.999 (0.994‒1.004) | 0.753 |
| FT3 | -1.057 | 0.348 (0.154‒0.783) | 0.011 |
| ABI×10 | -0.689 | 0.502 (0.279‒0.903) | 0.021 |
| baPWV | 0.198 | 1.219 (1.040‒1.428) | 0.015 |
| VFA | -0.022 | 0.978 (0.957‒0.999) | 0.036 |
| 1 | SUN H, SAEEDI P, KARURANGA S, et al. IDF Diabetes Atlas: global, regional and country-level diabetes prevalence estimates for 2021 and projections for 2045[J]. Diabetes Res Clin Pract, 2022, 183: 109119. |
| 2 | NAUCK M A, WEFERS J, MEIER J J. Treatment of type 2 diabetes: challenges, hopes, and anticipated successes[J]. Lancet Diabetes Endocrinol, 2021, 9(8): 525-544. |
| 3 | HANNON T S, KAHN S E, UTZSCHNEIDER K M, et al. Review of methods for measuring β-cell function: design considerations from the Restoring Insulin Secretion (RISE) Consortium[J]. Diabetes Obes Metab, 2018, 20(1): 14-24. |
| 4 | CĂTOI A F, BUSETTO L. Metabolically healthy obesity and bariatric surgery[J]. Obes Surg, 2019, 29(9): 2989-3000. |
| 5 | KIM E H, KIM H K, LEE M J, et al. Sex differences of visceral fat area and visceral-to-subcutaneous fat ratio for the risk of incident type 2 diabetes mellitus[J]. Diabetes Metab J, 2022, 46(3): 486-498. |
| 6 | GYLLENHAMMER L E, ALDERETE T L, TOLEDO-CORRAL C M, et al. Saturation of subcutaneous adipose tissue expansion and accumulation of ectopic fat associated with metabolic dysfunction during late and post-pubertal growth[J]. Int J Obes (Lond), 2016, 40(4): 601-606. |
| 7 | 中华医学会糖尿病学分会. 中国2型糖尿病防治指南(2020年版)[J]. 中华糖尿病杂志, 2021, 13(4): 315-409. |
| Chinese Diabetes Society. Guideline for the prevention and treatment of type 2 diabetes mellitus in China (2020 edition)[J]. Chinese Journal of Diabetes, 2021, 13(4): 315-409. | |
| 8 | TER HORST K W, VAN GALEN K A, GILIJAMSE P W, et al. Methods for quantifying adipose tissue insulin resistance in overweight/obese humans[J]. Int J Obes (Lond), 2017, 41(8): 1288-1294. |
| 9 | 朱小鹏, 颜红梅, 常薪霞, 等. 精氨酸刺激试验评估胰岛β细胞1相分泌功能的价值及对2型糖尿病治疗的指导作用[J]. 中国临床医学, 2017, 24(4): 548-553. |
| ZHU X P, YAN H M, CHANG X X, et al. The value of arginine stimulation test in evaluating the first-phase insulin secretion and its guiding role for the treatment of type 2 diabetes mellitus[J]. Chinese Journal of Clinical Medicine, 2017, 24(4): 548-553. | |
| 10 | SASSO M, BEAUGRAND M, DE LEDINGHEN V, et al. Controlled attenuation parameter (CAP): a novel VCTE™ guided ultrasonic attenuation measurement for the evaluation of hepatic steatosis: preliminary study and validation in a cohort of patients with chronic liver disease from various causes[J]. Ultrasound Med Biol, 2010, 36(11): 1825-1835. |
| 11 | SMITH U, KAHN B B. Adipose tissue regulates insulin sensitivity: role of adipogenesis, de novo lipogenesis and novel lipids[J]. J Intern Med, 2016, 280(5): 465-475. |
| 12 | LI R, LU W, JIA J, et al. Relationships between indices of obesity and its cardiovascular comorbidities in a Chinese population[J]. Circ J, 2008, 72(6): 973-978. |
| 13 | NEELAND I J, TURER A T, AYERS C R, et al. Dysfunctional adiposity and the risk of prediabetes and type 2 diabetes in obese adults[J]. JAMA, 2012, 308(11): 1150-1159. |
| 14 | LI H T, WU G Y, FANG Q C, et al. Fibroblast growth factor 21 increases insulin sensitivity through specific expansion of subcutaneous fat[J]. Nat Commun, 2018, 9(1): 272. |
| 15 | 陈姝, 储爱卉, 卞文轩, 等. 2型糖尿病患者骨骼肌质量与胰岛功能相关性研究[J]. 中国临床研究, 2024, 37(7): 1045-1050. |
| CHEN S, CHU A H, BIAN W X, et al. Correlation between skeletal muscle mass and islet function in patients with type 2 diabetes mellitus[J]. Chinese Journal of Clinical Research, 2024, 37(7): 1045-1050. | |
| 16 | SYED I, RUBIN DE CELIS M F, MOHAN J F, et al. PAHSAs attenuate immune responses and promote β cell survival in autoimmune diabetic mice[J]. J Clin Invest, 2019, 129(9): 3717-3731. |
| 17 | SUN Y C, ZHU Y Q, ZHANG L, et al. Relationship between insulin secretion and arterial stiffness in essential hypertension[J]. Int J Hypertens, 2021, 2021: 5015797. |
| 18 | ZHENG M Y, ZHANG X Y, CHEN S H, et al. Arterial stiffness preceding diabetes: a longitudinal study[J]. Circ Res, 2020, 127(12): 1491-1498. |
| 19 | NIE F Z, HE J A, CAO H, et al. Predictive value of abnormal ankle-brachial index in patients with diabetes: a meta-analysis[J]. Diabetes Res Clin Pract, 2021, 174: 108723. |
| 20 | TEIXEIRA P F D S, DOS SANTOS P B, PAZOS-MOURA C C. The role of thyroid hormone in metabolism and metabolic syndrome[J]. Ther Adv Endocrinol Metab, 2020, 11: 2042018820917869. |
| 21 | MORAN C, MCENIERY C M, SCHOENMAKERS N, et al. Dyslipidemia, insulin resistance, ectopic lipid accumulation, and vascular function in resistance to thyroid hormone β[J]. J Clin Endocrinol Metab, 2021, 106(5): e2005-e2014. |
| 22 | YAN Y, NIU Z M, SUN C, et al. Hepatic thyroid hormone signalling modulates glucose homeostasis through the regulation of GLP-1 production via bile acid-mediated FXR antagonism[J]. Nat Commun, 2022, 13(1): 6408. |
| 23 | VERGA FALZACAPPA C, PETRUCCI E, PATRIARCA V, et al. Thyroid hormone receptor TRβ1 mediates Akt activation by T3 in pancreatic β cells[J]. J Mol Endocrinol, 2007, 38(1/2): 221-233. |
| 24 | VERGA FALZACAPPA C, PATRIARCA V, BUCCI B, et al. The TRβ1 is essential in mediating T3 action on Akt pathway in human pancreatic insulinoma cells[J]. J Cell Biochem, 2009, 106(5): 835-848. |
| [1] | LIAN Mingzhu, ZHANG Changxiao, SHENG Kai, GUO Meng, FANG Shuyu. Predictive value of geriatric nutritional risk index for pulmonary infections in hospitalized elderly patients with type 2 diabetes mellitus [J]. Journal of Shanghai Jiao Tong University (Medical Science), 2025, 45(4): 452-458. |
| [2] | CHEN Rong, ZHANG Meng, ZHU Diqi, GUO Ying, SHEN Jie. Nomogram for predicting the risk of coronary artery lesions in patients with Kawasaki disease based on anti-neutrophil cytoplasmic antibodies [J]. Journal of Shanghai Jiao Tong University (Medical Science), 2025, 45(4): 459-467. |
| [3] | LIU Chuxuan, ZUO Jiaxin, XIONG Ping. A nomogram based on ultrasound scoring parameters and clinical indicators for differentiating primary Sjὅgren′s syndrome from IgG4-related sialadenitis [J]. Journal of Shanghai Jiao Tong University (Medical Science), 2025, 45(3): 373-380. |
| [4] | LIN Yijia, CHENG Lizhen, HU Tingjun, MIAO Ya. Causal relationship between type 2 diabetes mellitus and cognitive impairment based on Mendelian randomization [J]. Journal of Shanghai Jiao Tong University (Medical Science), 2025, 45(2): 204-210. |
| [5] | DUN Yiting, ZHAO Jing, FENG Chengling, LI Xingjian, CUI Di, HAN Bangmin. Online risk calculator and nomogram prediction model for urinary incontinence after robot-assisted laparoscopic radical prostatectomy [J]. Journal of Shanghai Jiao Tong University (Medical Science), 2025, 45(10): 1361-1371. |
| [6] | DENG Qingsong, ZHANG Changqing, TAO Shicong. Exploration of the relationship between nicotinamide metabolism-related genes and osteoarthritis [J]. Journal of Shanghai Jiao Tong University (Medical Science), 2024, 44(2): 145-160. |
| [7] | YANG Jingyu, CHEN Liubao, WANG Kangtai, YANG Xingzhi, YU Haitao. Establishment and evaluation of nomogram for differential diagnosis of systemic lupus erythematosus based on laboratory indications [J]. Journal of Shanghai Jiao Tong University (Medical Science), 2024, 44(2): 204-211. |
| [8] | ZHANG Xinyan, LI Han, RAN Hui, SU Qing, ZHANG Hongmei. Correlation between serum SUMO1 level and hypertriglyceridemia in type 2 diabetes mellitus patients [J]. Journal of Shanghai Jiao Tong University (Medical Science), 2024, 44(10): 1266-1272. |
| [9] | WU Lingheng, CHEN Jianxiong, ZHANG Mengjiao, SHA Lei, CAO Mengmeng, SHEN Cuiqin, DU Lianfang, LI Zhaojun. A study of the effect of suboptimal glycemic control on subclinical myocardial systolic function in patients with T2DM [J]. Journal of Shanghai Jiao Tong University (Medical Science), 2023, 43(8): 1024-1031. |
| [10] | XUE Linlin, LI Binghan, CHANG Lixian, LI Weikun, LIU Chunyun, LIU Li. Construction and evaluation of a nomogram prediction model for bacterial infection in patients with decompensated hepatitis C cirrhosis [J]. Journal of Shanghai Jiao Tong University (Medical Science), 2023, 43(1): 52-60. |
| [11] | Yekai WANG, Wei CHEN, Yinghui YANG, Jingze WU, Heping WANG, Yanzhen YAO, Zhoujun BAO. Establishment of a nomogram clinical scoring system for the risk of heterotopic ossification in patients undergoing surgery after fracture [J]. JOURNAL OF SHANGHAI JIAOTONG UNIVERSITY (MEDICAL SCIENCE), 2022, 42(2): 166-172. |
| [12] | Ying XU, Yi-min CHU, Da-ming YANG, Ji LI, Hai-qin ZHANG, Hai-xia PENG. Construction of a metastasis prediction model of microsatellite instability-high colorectal cancer based on differentially expressed gene assembly [J]. JOURNAL OF SHANGHAI JIAOTONG UNIVERSITY (MEDICAL SCIENCE), 2021, 41(9): 1197-1206. |
| [13] | Jing-jing ZHANG, Chao-yu ZHU, Yuan-yuan XIAO, Fu-song JIANG, Qing-ge GAO, Yun-yun FANG, Li WEI. Association study of variation of glucagon-like peptide-1 receptor gene rs3765467 and type 2 diabetes mellitus [J]. JOURNAL OF SHANGHAI JIAOTONG UNIVERSITY (MEDICAL SCIENCE), 2021, 41(9): 1215-1221. |
| [14] | Jia-si ZHANG, Chun-bo ZOU, Yu LU, Xi CHEN, Wei-ya ZHANG, Jiao-jiao HE. Value of blood lipoprotein phospholipase A2 and neutrophil gelatinase-associated lipocalin in the diagnosis of early diabetic nephropathy [J]. JOURNAL OF SHANGHAI JIAOTONG UNIVERSITY (MEDICAL SCIENCE), 2021, 41(6): 770-775. |
| [15] | Min SUN, Dong-ying ZHANG. Progress of cardioprotection effect of sodium-glucose cotransporter 2 inhibitor on patients with type 2 diabetes [J]. JOURNAL OF SHANGHAI JIAOTONG UNIVERSITY (MEDICAL SCIENCE), 2021, 41(3): 391-395. |
| Viewed | ||||||
|
Full text |
|
|||||
|
Abstract |
|
|||||