
Journal of Shanghai Jiao Tong University (Medical Science) ›› 2025, Vol. 45 ›› Issue (6): 745-752.doi: 10.3969/j.issn.1674-8115.2025.06.009
• Clinical research • Previous Articles Next Articles
SHEN Yue1, WANG Yu2, XU Jingyi1, CHEN Yuancheng2, ZHANG Jing2, DING Feng1(
)
Received:2024-11-12
Accepted:2025-02-18
Online:2025-06-28
Published:2025-06-28
Contact:
DING Feng
E-mail:dingfeng@sjtu.edu.cn
Supported by:CLC Number:
SHEN Yue, WANG Yu, XU Jingyi, CHEN Yuancheng, ZHANG Jing, DING Feng. Pharmacokinetics/pharmacodynamics of antibiotics with different protein binding rates in hemodialysis[J]. Journal of Shanghai Jiao Tong University (Medical Science), 2025, 45(6): 745-752.
Add to citation manager EndNote|Ris|BibTeX
URL: https://xuebao.shsmu.edu.cn/EN/10.3969/j.issn.1674-8115.2025.06.009
| Indicator | Meropenem (n=7) | Vancomycin (n=5) | Ceftriaxone (n=7) | P value |
|---|---|---|---|---|
| Age/year | 69 (60, 77) | 71 (58, 80) | 64 (58, 71) | 0.198 |
| Male/n(%) | 6 (85.7) | 5 (100.0) | 7 (100.0) | 0.059 |
| DWa/kg | 66.0 (48.0, 73.5) | 58.1 (48.0, 65.0) | 63.0 (55.7, 75.0) | 0.167 |
| BMI/(kg | 24.1 (18.8, 27.5) | 21.8 (19.2, 25.2) | 22.4 (20.5, 25.4) | 0.274 |
| eGFRb/[mL·(min·1.73 m2)-1] | 10.1 (4.0, 28.0) | 7.4 (4.0, 12.0) | 9.1 (5.0, 13.0) | 0.545 |
| ALT/(U | 13.6 (6.0, 34.0) | 22.8 (7.0, 37.0) | 15.4 (3.0, 30.0) | 0.492 |
| AST/(U | 15.6 (8.0, 32.0) | 21.8 (12.0, 36.0) | 20.7 (6.0, 28.0) | 0.273 |
| TP/(g | 61.9 (49.0, 72.0) | 67.4 (62.0, 77.0) | 61.6 (49.0, 79.0) | 0.325 |
| Alb /(g | 31.6 (20.0, 38.0) | 34.6 (29.0, 40.0) | 35.0 (23.0, 42.0) | 0.539 |
| HCT | 0.278 (0.191, 0.383) | 0.288 (0.214, 0.355) | 0.276 (0.198, 0.332) | 0.866 |
| Qb/(mL | 212.9 (200.0, 240.0) | 218.0 (200.0, 230.0) | 217.1 (200.0, 250.0) | 0.893 |
| UF/L | 2.6 (2.0‒3.5) | 2.2 (1.6‒3.3) | 2.6 (1.3‒3.3) | 0.485 |
Tab 1 Demographic and clinical characteristics of the study participants
| Indicator | Meropenem (n=7) | Vancomycin (n=5) | Ceftriaxone (n=7) | P value |
|---|---|---|---|---|
| Age/year | 69 (60, 77) | 71 (58, 80) | 64 (58, 71) | 0.198 |
| Male/n(%) | 6 (85.7) | 5 (100.0) | 7 (100.0) | 0.059 |
| DWa/kg | 66.0 (48.0, 73.5) | 58.1 (48.0, 65.0) | 63.0 (55.7, 75.0) | 0.167 |
| BMI/(kg | 24.1 (18.8, 27.5) | 21.8 (19.2, 25.2) | 22.4 (20.5, 25.4) | 0.274 |
| eGFRb/[mL·(min·1.73 m2)-1] | 10.1 (4.0, 28.0) | 7.4 (4.0, 12.0) | 9.1 (5.0, 13.0) | 0.545 |
| ALT/(U | 13.6 (6.0, 34.0) | 22.8 (7.0, 37.0) | 15.4 (3.0, 30.0) | 0.492 |
| AST/(U | 15.6 (8.0, 32.0) | 21.8 (12.0, 36.0) | 20.7 (6.0, 28.0) | 0.273 |
| TP/(g | 61.9 (49.0, 72.0) | 67.4 (62.0, 77.0) | 61.6 (49.0, 79.0) | 0.325 |
| Alb /(g | 31.6 (20.0, 38.0) | 34.6 (29.0, 40.0) | 35.0 (23.0, 42.0) | 0.539 |
| HCT | 0.278 (0.191, 0.383) | 0.288 (0.214, 0.355) | 0.276 (0.198, 0.332) | 0.866 |
| Qb/(mL | 212.9 (200.0, 240.0) | 218.0 (200.0, 230.0) | 217.1 (200.0, 250.0) | 0.893 |
| UF/L | 2.6 (2.0‒3.5) | 2.2 (1.6‒3.3) | 2.6 (1.3‒3.3) | 0.485 |
| Indicator | CLp/(L | CLdial/(L | CLtotal/(L |
|---|---|---|---|
| Meropenem | 5.97±0.57 | 5.26±1.05 | 5.14±1.09 |
| Vancomycin | 3.77±0.45 | 2.87±1.14 | 3.10±1.28 |
| Ceftriaxone | 1.90±0.61 | 1.34±0.29 | 1.21±0.27 |
Tab 2 Clearance data of antibiotics during hemodialysis
| Indicator | CLp/(L | CLdial/(L | CLtotal/(L |
|---|---|---|---|
| Meropenem | 5.97±0.57 | 5.26±1.05 | 5.14±1.09 |
| Vancomycin | 3.77±0.45 | 2.87±1.14 | 3.10±1.28 |
| Ceftriaxone | 1.90±0.61 | 1.34±0.29 | 1.21±0.27 |
| Indicator | Meropenem | Vancomycin | Ceftriaxone |
|---|---|---|---|
| CLdial/(L | 4.71±1.10 | 3.25±1.21 | 1.16±0.45 |
| CLsys/(L | 1.78±0.63 | 0.20±0.13 | 0.27±0.07 |
| Vc0/L | 17.60±4.78 | 18.73±1.88 | 10.84±4.79 |
| Vp/L | 41.51±12.38 | 32.43±10.53 | 22.42±18.09 |
| Q/(L | 0.19±0.20 | 0.24±0.25 | 0.25±0.14 |
| T1/2on/h | 1.99±0.86 | 11.82±5.10 | 8.16±3.08 |
| T1/2off/h | 6.44±3.02 | 50.87±23.62 | 15.46±6.58 |
| AUC/(h | 278.18±151.80 | 833.19±299.46 | 4262.60±1183.66 |
| Vd/L | 18.56±8.97 | 42.19±32.77 | 13.82±7.09 |
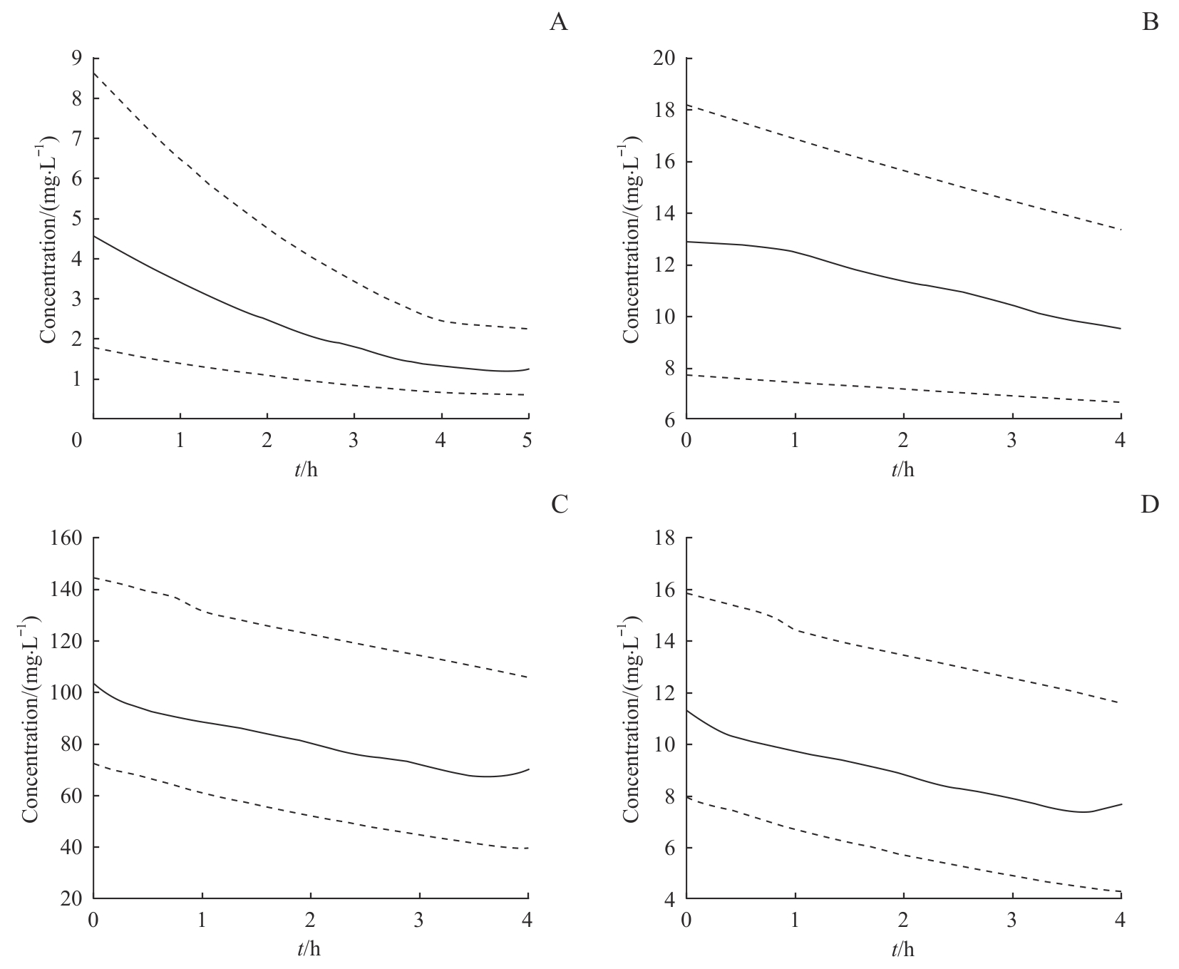
Tab 3 Pharmacokinetic parameters of antibiotics in patients undergoing low-flux IHD
| Indicator | Meropenem | Vancomycin | Ceftriaxone |
|---|---|---|---|
| CLdial/(L | 4.71±1.10 | 3.25±1.21 | 1.16±0.45 |
| CLsys/(L | 1.78±0.63 | 0.20±0.13 | 0.27±0.07 |
| Vc0/L | 17.60±4.78 | 18.73±1.88 | 10.84±4.79 |
| Vp/L | 41.51±12.38 | 32.43±10.53 | 22.42±18.09 |
| Q/(L | 0.19±0.20 | 0.24±0.25 | 0.25±0.14 |
| T1/2on/h | 1.99±0.86 | 11.82±5.10 | 8.16±3.08 |
| T1/2off/h | 6.44±3.02 | 50.87±23.62 | 15.46±6.58 |
| AUC/(h | 278.18±151.80 | 833.19±299.46 | 4262.60±1183.66 |
| Vd/L | 18.56±8.97 | 42.19±32.77 | 13.82±7.09 |
| [1] | GUPTA V, YASSIN M H. Infection and hemodialysis access: an updated review[J]. Infect Disord Drug Targets, 2013, 13(3): 196-205. |
| [2] | VELENOSI T J, URQUHART B L. Pharmacokinetic considerations in chronic kidney disease and patients requiring dialysis[J]. Expert Opin Drug Metab Toxicol, 2014, 10(8): 1131-1143. |
| [3] | MAHESHWARI V, THIJSSEN S, TAO X, et al. A novel mathematical model of protein-bound uremic toxin kinetics during hemodialysis[J]. Sci Rep, 2017, 7(1): 10371. |
| [4] | GILBERT D N, CHAMBERS H F, ELIOPOULOS G M, et al. The Sanford guide to antimicrobial therapy[M]. VA, USA:Antimicrobial Therapy Inc, 2016. |
| [5] | LEROY A, FILLASTRE J P, BORSA-LEBAS F, et al. Pharmacokinetics of meropenem (ICI 194, 660) and its metabolite (ICI 213, 689) in healthy subjects and in patients with renal impairment[J]. Antimicrob Agents Chemother, 1992, 36(12): 2794-2798. |
| [6] | LEROY A, FILLASTRE J P, ETIENNE I, et al. Pharmacokinetics of meropenem in subjects with renal insufficiency[J]. Eur J Clin Pharmacol, 1992, 42(5): 535-538. |
| [7] | RYBAK M J. The pharmacokinetic and pharmacodynamic properties of vancomycin[J]. Clin Infect Dis, 2006, 42(Suppl 1): S35-S39. |
| [8] | ROBERTS D M, LIU X, ROBERTS J A, et al. A multicenter study on the effect of continuous hemodiafiltration intensity on antibiotic pharmacokinetics[J]. Crit Care, 2015, 19(1): 84. |
| [9] | LAMB H M, ORMROD D, SCOTT L J, et al. Ceftriaxone: an update of its use in the management of community-acquired and nosocomial infections[J]. Drugs, 2002, 62(7): 1041-1089. |
| [10] | GABUTTI L, TAMINELLI-BELTRAMINELLI L, MARONE C. Clearance of ceftriaxone during haemodialysis using cuprophane, haemophane and polysulfone dialysers[J]. Eur J Clin Pharmacol, 1997, 53(2): 123-126. |
| [11] | HEINEMEYER G, LINK J, WEBER W, et al. Clearance of ceftriaxone in critical care patients with acute renal failure[J]. Intensive Care Med, 1990, 16(7): 448-453. |
| [12] | PINDER N, BRENNER T, SWOBODA S, et al. Therapeutic drug monitoring of beta-lactam antibiotics: influence of sample stability on the analysis of piperacillin, meropenem, ceftazidime and flucloxacillin by HPLC-UV[J]. J Pharm Biomed Anal, 2017, 143: 86-93. |
| [13] | RYBAK M, LOMAESTRO B, ROTSCHAFER J C, et al. Therapeutic monitoring of vancomycin in adult patients: a consensus review of the American Society of Health-System Pharmacists, the Infectious Diseases Society of America, and the Society of Infectious Diseases Pharmacists[J]. Am J Health Syst Pharm, 2009, 66(1): 82-98. |
| [14] | KEOUGH L A, KRAUSS A, HUDSON J Q. Inadequate antibiotic dosing in patients receiving sustained low efficiency dialysis[J]. Int J Clin Pharm, 2018, 40(5): 1250-1256. |
| [15] | HÖRL W H, KOCH K M, LINDSAY R M, et al. Replacement of renal function by dialysis[M]. Fifth Edition. Netherlands: Springer Science+Business Media, 2004: 81-87. |
| [16] | ELOOT S, SCHNEDITZ D, CORNELIS T, et al. Protein-bound uremic toxin profiling as a tool to optimize hemodialysis[J]. PLoS One, 2016, 11(1): e0147159. |
| [17] | LAUNAY-VACHER V, IZZEDINE H, MERCADAL L, et al. Clinical review: use of vancomycin in haemodialysis patients[J]. Crit Care, 2002, 6(4): 313-316. |
| [18] | VANDECASTEELE S J, de VRIESE A S. Vancomycin dosing in patients on intermittent hemodialysis[J]. Semin Dial, 2011, 24(1): 50-55. |
| [19] | KIELSTEIN J T, CZOCK D, SCHÖPKE T, et al. Pharmacokinetics and total elimination of meropenem and vancomycin in intensive care unit patients undergoing extended daily dialysis[J]. Crit Care Med, 2006, 34(1): 51-56. |
| [20] | LANESE D M, ALFREY P S, MOLITORIS B A. Markedly increased clearance of vancomycin during hemodialysis using polysulfone dialyzers[J]. Kidney Int, 1989, 35(6): 1409-1412. |
| [21] | CHRISTENSSON B A, NILSSON-EHLE I, HUTCHISON M, et al. Pharmacokinetics of meropenem in subjects with various degrees of renal impairment[J]. Antimicrob Agents Chemother, 1992, 36(7): 1532-1537. |
| [22] | PETEJOVA N, MARTINEK A, ZAHALKOVA J, et al. Vancomycin removal during low-flux and high-flux extended daily hemodialysis in critically ill septic patients[J]. Biomed Pap Med Fac Univ Palacky Olomouc Czech Repub, 2012, 156(4): 342-347. |
| [23] | SIMON N, DUSSOL B, SAMPOL E, et al. Population pharmacokinetics of ceftriaxone and pharmacodynamic considerations in haemodialysed patients[J]. Clin Pharmacokinet, 2006, 45(5): 493-501. |
| [24] | HUMPHRIES R, BOBENCHIK A M, HINDLER J A, et al. Overview of changes to the clinical and laboratory standards institute Performance Standards for Antimicrobial Susceptibility Testing, M100, 31st Edition[J]. J Clin Microbiol, 2021, 59(12): e0021321. |
| [1] | MEN Ru, ZHU Minxia, ZHANG Weiming. Serum potassium level in maintenance hemodialysis patients and its effect on outcome [J]. Journal of Shanghai Jiao Tong University (Medical Science), 2023, 43(4): 507-513. |
| [2] | WEI Shan, JI Ouyang, CHEN Zhihao, HUANG Zehui, LI Pu, FANG Junyan, LIU Yingli. A prevalence study on knowledge, attitude, belief and practice of safe medication and analysis of related factors in dialysis patients [J]. Journal of Shanghai Jiao Tong University (Medical Science), 2023, 43(1): 88-94. |
| [3] | Ya-nan LAI, Yu-feng YAO, Xiao-kui GUO, Jin-jing NI. Acetylation involved in bacterial susceptibility to ribosome-targeting antibiotics [J]. JOURNAL OF SHANGHAI JIAOTONG UNIVERSITY (MEDICAL SCIENCE), 2021, 41(3): 308-313. |
| [4] | ZHOU Yue-ling, DING Wei, AI Hong-lan, LU Jian-xin, DING Feng, HU Chun. Cerebral structural abnormalities and cognitive function in end-stage renal disease patients undergoing maintenance hemodialysis [J]. JOURNAL OF SHANGHAI JIAOTONG UNIVERSITY (MEDICAL SCIENCE), 2020, 40(7): 962-967. |
| [5] | ZHU Min-xia, ZHANG Wei-ming, NI Zhao-hui, CAI Hong, LU Jia-yue, LIU Shang, ZHAN Ya-ping. Analysis of the correlation between blood pressure fluctuation and hemodialysis-related complications in patients with maintenance hemodialysis [J]. , 2020, 40(4): 484-. |
| [6] | YE Zu-yang, LENG Bin, OU Jun, BI Hui-xin, PAN Xia, ZOU Di-sha. Application of small diameter basilic vein transposition arteriovenous fistula to hemodialysis [J]. , 2020, 40(2): 276-. |
| [7] | LONG Quan1, QIN Ji-ping2, LI Rong2, CHANG Juan2, JIANG Geng-ru3, ZHU Chun2, 3. Effects of hemodialysis and hemoperfusion combination treatment on maintenance hemodialysis patients [J]. , 2019, 39(8): 886-. |
| [8] | Lü Lin, SHI Xin, GUO Xiao-kui, QIN Jin-hong. Isolation, biological characteristics and genomic safety assessment of drug-resistant Klebsiella pneumoniae phage JD902 [J]. , 2019, 39(12): 1389-. |
| [9] | CHEN Xiao-mei1, CHEN Zi-jin2, MA Xiao-bo2, ZHANG Chun-li2, QIAN Ying2, YU Hai-jin2, CHEN Xiao-nong2. Progression of left ventricular hypertrophy in maintenance hemodialysis patients and analysis of risk factors [J]. , 2018, 38(5): 505-. |
| [10] | PANG Hui-hua, ZHANG Hai-fen, CHE Miao-lin, YU Zan-zhe, LIN Xing-hui, ZHU Ming-li, LU Ren-hua, FANG Ni-na, NI Zhao-hui, GU Le-yi. Assessment of volume status in maintenance hemodialysis patients [J]. , 2018, 38(5): 524-. |
| [11] | LI Hui, NIE Bin-en, YUE Bing. Different patterns of titanium surface nanocrystallization and drug load aimed at establishing orthopedic implants with antimicrobial property [J]. , 2017, 37(6): 847-. |
| [12] | LI Lu-yao, DAI Hui-li, ZHANG Min-fang, FANG Yan, NI Zhao-hui. Value of abdominal aortic calcification for evaluating the prognosis of patients undergoing maintenance hemodialysis [J]. , 2016, 36(7): 1034-. |
| [13] | BIAN Zhi-xiang, CHEN Pei-hua, GU Hui-yi, HU Chun, PAN Yu. Comparison of the prognosis in patients with diabetic nephropathy undergoing different phases of hemodialysis [J]. , 2016, 36(6): 875-. |
| [14] | FANG Yan, ZHANG Wei-ming, YAN Yu-cheng, et al. Analysis of 6year morality and its risk factors in patients undergoing maintenance hemodialysis [J]. , 2016, 36(3): 364-. |
| [15] | ZHANG Chen, JIANG Jian-fen, CHEN Shu-fang, et al. Analysis of management efficacy of special clinical antibiotic use rectification in obstetrical and gynecological hospitals [J]. , 2016, 36(3): 427-. |
| Viewed | ||||||
|
Full text |
|
|||||
|
Abstract |
|
|||||