Journal of Shanghai Jiao Tong University (Medical Science) ›› 2026, Vol. 46 ›› Issue (3): 340-347.doi: 10.3969/j.issn.1674-8115.2026.03.008

• Evidence-based medicine • Previous Articles    

Causal relationship between liposome and essential hypertension based on two-sample Mendelian randomization analysis

Huang Xi1, Hou Qinwu1, Zhang Zhaowei1, Wang Yanan1, Yang Qinghui2(), Cheng Ling3   

  1. 1.General Practice Department, Beicai Community Health Service Center, Pudong New Area, Shanghai 201204, China
    2.Department of Cardiology, East Hospital, Tongji University, Shanghai 200120, China
    3.Department of Traditional Chinese Medicine Acupuncture and Moxibustion, East Hospital, Tongji University, Shanghai 200120, China
  • Received:2025-09-12 Accepted:2025-12-05 Online:2026-03-28 Published:2026-03-30
  • Contact: Yang Qinghui E-mail:qinghuiyang@tongji.edu.cn
  • Supported by:
    Medical and Health Project of the Special Fund for People′s Livelihood Scientific Research in Public Institutions under the Science and Technology Development Fund of Pudong New Area, Shanghai(PKJ2024-Y64);Project of the Health Commission of Pudong New Area, Shanghai(PWZzk2022-25)

Abstract:

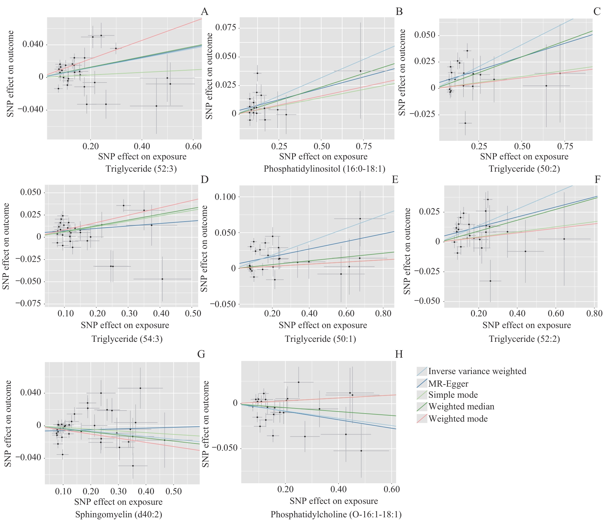
Objective ·A two-sample Mendelian randomization (TSMR) approach was employed to investigate the causal relationship between liposomes and essential hypertension. Methods ·Genome-wide association study (GWAS) data for essential hypertension were obtained from the FinnGen database, while lipid profile data were sourced from the European Bioinformatics Institute (EBI). Data on 179 liposomes were downloaded from the EBI GWAS database, and relevant single-nucleotide polymorphisms (SNPs) were screened as instrumental variables. Inverse-variance weighted (IVW), MR-Egger, weighted median, weighted mode, and simple mode methods, combined with sensitivity analysis, were employed to evaluate the causal associations between the 179 liposomes and essential hypertension. Results ·Eight types of liposomes were identified as being associated with essential hypertension. According to the IVW results, six types of liposomes significantly increased the risk of essential hypertension, including triglyceride (52:3) (OR=1.061, 95%CI 1.022‒1.101, P=0.002), phosphatidylinositol (16:0‒18:1) (OR=1.066, 95%CI 1.025‒1.107, P=0.001), triglyceride (50:2) (OR=1.086, 95%CI 1.036‒1.139, P<0.001), triglyceride (54:3) (OR=1.062, 95%CI 1.027‒1.099, P<0.001), triglyceride (50:1) (OR=1.098, 95%CI 1.045‒1.154, P<0.001), and triglyceride (52:2) (OR=1.071, 95%CI 1.035‒1.110, P<0.001). Two types of liposome reduced the risk of essential hypertension, including sphingomyelin (d40:2) (OR=0.968, 95%CI 0.937‒0.999, P=0.042) and phosphatidylcholine (O-16:1‒18:1) (OR=0.960, 95%CI 0.924‒0.998, P=0.038). The causal directions revealed by the other four methods were consistent with those of the IVW method. Cochran′s Q test revealed slight heterogeneity, but its impact on the robustness of the overall results was limited. MR-Egger regression indicated no evidence of horizontal pleiotropy. Leave-one-out cross-validation demonstrated high robustness of the results. Reverse MR analysis indicated that the onset of essential hypertension did not alter the type of the aforementioned liposomes. Conclusion ·There is a causal relationship between specific liposomes and essential hypertension. Triglycerides (52:3, 50:2, 54:3, 50:1, 52:2) and phosphatidylinositol (16:0‒18:1) are risk factors for essential hypertension, which may promote hypertension development through metabolic disturbances. Moreover, sphingomyelin (D40:2) and phosphatidylcholine (O-16:1‒18:1) may have protective effects against the occurrence of essential hypertension.

Key words: liposome, essential hypertension, Mendelian randomization (MR), causal relationship

CLC Number: