出生前母体重(类)金属复合暴露与子代认知和气质发育的相关性研究
1.
2.
3.
Relationship between prenatal mixed heavy metal/metalloid exposure and offspring cognitive and temperament development
1.
2.
3.
通讯作者: 徐 健,电子信箱:sonia0616@sjtu.edu.cn。
编委: 瞿麟平
收稿日期: 2024-05-03 接受日期: 2024-09-30 网络出版日期: 2024-12-28
| 基金资助: |
|
Corresponding authors: XU Jian, E-mail:sonia0616@sjtu.edu.cn.
Received: 2024-05-03 Accepted: 2024-09-30 Online: 2024-12-28
目的·分析出生前母体重(类)金属复合暴露与子代认知和气质发育的相关性。方法·利用2010—2012年在上海开展的前瞻性出生队列,在妊娠28~36周采集孕妇静脉血,检测静脉血重(类)金属浓度。在幼儿24~36月龄时,使用格塞尔发育量表和幼儿气质量表分别评估幼儿的认知和气质发育。通过问卷及医院病历系统收集孕妇及幼儿的基本信息。使用贝叶斯核机器回归(Bayesian kernel machine regression,BKMR)模型评估出生前母体重(类)金属复合暴露对幼儿认知和气质发育的影响。结果·最终共纳入139对信息完整的母婴。入组时孕妇年龄为(29.39±3.41)岁,婴儿出生体质量为(3.47±0.42)kg,女性占59.71%,随访时幼儿月龄为(32.91±2.69)个月。根据以往研究证据和多元线性回归模型筛选出和幼儿认知和气质发展可能有关联的4种重(类)金属元素,分别为铬(Cr)、锰(Mn)、砷(As)和铅(Pb)。出生前母体静脉血Mn、Pb、As、Cr的浓度中位数分别为3.32、3.60、2.03、1.78 μg/dL。BKMR模型分析发现,矫正相关混杂因素后,当4种重(类)金属的整体浓度高于第50个百分位时,随着重(类)金属整体浓度的增加,幼儿的精细动作发育商呈下降趋势,且幼儿气质量表的适应性、坚持性和反应阈维度得分均呈下降趋势。其中出生前母体Mn暴露对幼儿精细动作发育影响的贡献最大[后验包含概率(posterior inclusion probabilities,PIP)=0.617],As暴露对幼儿坚持性维度影响的贡献最大(PIP=0.656),Cr暴露对幼儿反应阈维度影响的贡献最大(PIP=0.447),4种重(类)金属暴露对幼儿适应性维度影响的贡献相近。结论·出生前母体重(类)金属(Mn、As、Pb、Cr)复合暴露与幼儿的精细动作发育和气质的适应性、坚持性和反应阈维度发育之间可能存在相关性;尤其要重视Mn暴露与幼儿精细动作发育之间,以及As和Cr暴露与幼儿气质发育之间的关系。
关键词:
Objective ·To analyze the relationship between prenatal mixed heavy metal/metalloid exposure and the cognitive and temperament development of the offspring. Methods ·A prospective birth cohort study was conducted in Shanghai from 2010 to 2012. Maternal venous blood samples were collected at 28‒36 weeks of gestation to measure prenatal maternal blood heavy metal/metalloid concentrations. At 24‒36 months of age, the cognitive and temperament development of the offspring were assessed by using Gesell Developmental Scale and Toddler Temperament Scale, respectively. Demographic and clinical information of mothers and children was collected via questionnaires and hospital medical records. Bayesian kernel machine regression (BKMR) models were employed to assess the effects of prenatal mixed heavy metal/metalloid exposure on toddlers' cognitive and temperament development. Results ·A total of 139 mother-child pairs with complete data were included in the study. At enrollment, the mean maternal age was (29.39±3.41) years, and the mean birth weight of the infants was (3.47±0.42) kg, with 59.71% female infants. At follow-up, the average age of the toddlers was (32.91±2.69) months. Based on prior research and multivariable linear regression models, four heavy metals/metalloid—chromium (Cr), manganese (Mn), arsenic (As), and lead (Pb)—were identified as potentially associated with cognitive and temperament development in children. The median concentrations of Mn, Pb, As, and Cr in the maternal venous blood during pregnancy were 3.32, 3.60, 2.03, and 1.78 μg/dL, respectively. After adjusting for related confounders, the BKMR analyses found that when the overall concentrations of the four heavy metals/metalloid (Cr, Mn, As, and Pb) were higher than the 50th percentile, children's fine motor development quotients showed a decreasing trend as the overall concentrations of the four heavy metals/metalloid increased. Scores for adaptability, persistence, and threshold of response on the temperament scale showed a decreasing trend as well. Prenatal Mn exposure levels made the greatest contribution to the effects on children's fine motor development [PIP (posterior inclusion probability)=0.617], prenatal As exposure levels made the greatest contribution to the effects on children's persistence trait (PIP=0.656), and prenatal Cr exposure levels made the greatest contribution to the effects on children's reaction threshold trait (PIP=0.447). The contribution of all four heavy metals/metalloid to the effects on children's adaptive dimension was similar. Conclusion ·Children's fine motor development and the adaptability, persistence, and threshold traits of temperament may be related to prenatal mixed exposure to heavy metals/metalloid (Mn, As, Pb, and Cr). Particular attention should be paid to the relationship between prenatal Mn exposure and children's fine motor development, and between prenatal As and Cr exposure and children's temperament development.
Keywords:
本文引用格式
徐祖婧, 江怡宁, 徐健.
XU Zujing, JIANG Yining, XU Jian.
既往研究[2]表明,出生前多种重(类)金属单一暴露都对儿童认知行为发育造成不良影响。如产前Pb暴露水平与儿童认知水平和精细动作发育呈负相关[3-6];产前低浓度As暴露可能会对女童的操作智商和语言智力产生负面影响[3];产前镉(Cd)暴露水平越高,儿童运动发育水平越差[7];妊娠期(类)金属[As、Cd、铜(Cu)、汞(Hg)、Mn、镁和Pb]暴露与儿童自闭症和多动症之间存在关联[8]。既往也有少量研究评估了出生前重金属单一暴露对儿童气质行为的影响,如产前Pb暴露与幼儿气质行为发育的相关性(发现围生期母亲的胫骨骨铅水平与幼儿24月龄时的反应阈得分明显负相关,即胫骨骨铅水平越高,幼儿倾向于对环境刺激越不敏感)[9]。
实际生活中,孕妇往往同时暴露于多种重金属元素,如吸入工业排放的粉尘或摄入的食物来自被重金属污染的土壤/水源。Mn、Pb、As和Cr这4种重(类)金属共暴露广泛存在于接触重金属矿库和煤矿周边土壤、各类生活或医疗垃圾中。因此单一重(类)金属暴露的效应研究无法准确评估复合暴露诱发的实际效应,需要探讨出生前重(类)金属复合暴露诱发的综合影响。但既往的流行病学研究鲜有关注出生前母体重金属复合暴露对儿童神经行为发育的影响,更缺乏探讨非职业人群或非污染地区中,出生前低水平重(类)金属复合暴露对儿童神经行为发育的影响。
本研究基于上海交通大学医学院附属新华医院(新华医院)及上海交通大学医学院附属国际和平妇幼保健院(国际和平妇幼保健院)开展的前瞻性出生队列,分析出生前母体多种重(类)金属元素暴露与幼儿认知和气质发育的影响。研究结果可能为今后出生前重(类)金属复合暴露诱发的神经发育毒性的防治提供参考依据。不同的重(类)金属可能在暴露途径、吸收代谢等过程中有相互作用。从而对儿童认知行为发育产生相加、协同或拮抗等联合作用。而传统效应研究的回归统计模型不能准确评估真实的效应影响,因此本研究拟采用贝叶斯核机器回归(Bayesian kernel machine regression,BKMR)[10],分析出生前母体多种重(类)金属复合暴露对子代认知行为的联合效应。该BKMR分析方法目前已被广泛应用于多污染物联合作用的研究中[11-13]。
1 对象和方法
1.1 研究对象及方案
研究对象来自新华医院及国际和平妇幼保健院2010—2012年开展的一项前瞻性出生队列研究。该队列于产前门诊招募孕28~36周孕妇,并随访至幼儿24~36月龄。通过问卷及医院病历系统收集孕妇基本信息,包括孕妇年龄、受教育程度、孕前职业、婚姻状况、家庭月收入等,以及幼儿的性别、出生时的相关信息和随访时的幼儿月龄。采集孕妇外周静脉血,检测重(类)金属水平。幼儿24~36月龄时,分别评估幼儿的认知水平和气质特征。孕妇纳入标准:①孕28~36周的孕妇。②计划在新华医院或国际和平妇幼保健院分娩。③孕妇或家属签署知情同意书。排除标准:①孕妇有相关精神心理疾病史或认知水平低下。②有严重的妊娠并发症(包括肝脏、肾脏或心脏疾病,妊娠糖尿病,高血压和先兆子痫)。③婴儿出生后5 min的Apgar评分在7分或以下。④双胎或多胎。
本研究共招募了398对母婴。有173对母婴失访,其中124对是由于随访时没时间参与、家里离医院太远或天气恶劣等,另外49对是由于无法联系到而失访。因此,共随访了225对母婴,其中139对母婴有产前母体重(类)金属暴露水平的数据,作为最终纳入研究的对象。在已随访和未随访的母婴对之间,未发现孕妇年龄、受教育程度、收入水平,以及婴儿性别、出生体质量等方面差异存在统计学意义。
1.2 出生前母体重(类)金属暴露和幼儿的认知行为发育评估
1.2.1 出生前母体重(类)金属水平的检测
在孕晚期采集孕妇5 mL外周静脉血,使用电感耦合等离子体质谱仪(安捷伦7500ce,美国)测定血清Cr、Mn、As、Hg、钴(Co)、镍(Ni)、Cd多种重(类)金属浓度,采用原子吸收光谱法(珀金埃尔默PinAAcle 900Z,美国)检测全血Pb水平。检测中均设置不同水平的质控对照样品。所有样本的重(类)金属含量均达到检测限。
1.2.2 幼儿认知水平的评估
1.2.3 幼儿气质的评估
幼儿气质是幼儿在日常生活中不同条件下的行为反应方式。幼儿气质量表(Toddler Temperament Scale,TTS)中文版在国内广泛应用于幼儿气质特征的探究,具有较好的评估效能[16]。共涉及9个气质维度,即活动水平、节律性、趋避性、适应性、反应强度、情绪本质、坚持性、注意分散度和反应阈,包含97个条目[17]。9个维度的得分越高,分别表明身体活动的水平越高、生理活动越不规律、趋避性方面越趋向于回避和不接受、面对新环境或新刺激适应越慢、情绪反应越强烈、情绪本质方面表现越消极、执着于某项事务时间越短和不持久、注意力越不容易从正在进行的活动转移到其他活动、反应阈方面阈值越低(越敏感)。气质特点本身无好坏之分,但气质水平的变化常常与儿童的行为改变和行为发育相关。根据以往文献[16],中文版TTS的重测系数为0.84~0.94,Cronbach's α系数为0.7。本研究中TTS的Cronbach's α系数为0.679。
1.3 统计学分析
应用SPSS 26.0.0.0和R 4.2.2软件进行统计分析。定量资料先进行正态性检验,对符合正态分布的数据用x±s表示;对不符合正态分布的数据用M(P25,P75)表示。将不符合正态分布的重(类)金属浓度进行对数转换,以实现符合线性模型的正态性。定性资料用频数(百分比)表示。
根据以往研究证据和本研究的统计筛选[采用多元线性回归模型,在矫正相关混杂因素以后,分析出生前母体单一重(类)金属暴露与子代认知和气质行为发育之间的关联],筛选出对幼儿认知和行为发育可能有较大影响的4种出生前母体重(类)金属暴露的元素Mn、Pb、As和Cr。采用BKMR模型分析出生前母体重(类)金属混合暴露对子代认知水平和气质发育的影响,具体包括:①采用BKMR模型中的多污染模型,分析出生前母体重(类)金属混合暴露对子代认知和气质发育影响的总效应。②通过BKMR计算每种重(类)金属的后验包含概率(posterior inclusion probability,PIP;PIP是基于BKMR模型对先验概率进行修正后得到的概率),以识别在对幼儿认知和气质行为发育的影响中何种重(类)金属占据主导作用。模型计算了4种重(类)金属的PIP,数值范围0~1,PIP越大表示该重(类)金属元素暴露对结局指标的影响效应越强。③通过绘制双变量暴露-反应曲线,分析出生前母体4种重(类)金属复合暴露对幼儿认知和气质发育的交互效应。以上数据分析过程中,校正因素包括招募时孕妇的年龄、受教育程度,幼儿出生时孕周、性别和年龄。
2 结果
2.1 研究对象的一般情况
本研究共纳入母婴139对,入组时孕妇年龄为(29.39±3.41)岁,其中大学本科及以上学历占88.49%,职业范围包括各类专业技术人员(32.37%)、行政办事或管理人员(21.58%)、商业工作人员(17.99%)等,家庭月均总收入超过1万元的占30.21%;幼儿出生体质量为(3.47±0.42)kg,男女占比分别为40.29%和59.71%,随访时幼儿月龄为(32.91±2.69)个月。出生前孕晚期血Mn、Pb、As、Cr的浓度中位数分别为3.32、3.60、2.03、1.78 μg/dL。详细结果如表1。
表1 研究对象的人口学特征及临床特征
Tab 1
| Characteristic | Value |
|---|---|
| Maternal age/year | 29.39±3.41 |
| Maternal education level/n(%) | |
| Senior high school or below | 16 (11.50) |
| University or college | 105 (75.54) |
| Postgraduate | 18 (12.95) |
| Marital status/n(%) | |
| Married | 134 (96.40) |
| Single | 5 (3.60) |
| Occupation/n(%) | |
| Professional and technical personnel | 45 (32.37) |
| Administrative or management personnel | 30 (21.58) |
| Commercial personnel | 25 (17.99) |
| Others | 39 (28.06) |
| Family monthly income/n(%) | |
| <2 000 yuan | 6 (4.32) |
| 2 000‒5 000 yuan | 37 (26.62) |
| 5 000‒10 000 yuan | 54 (38.85) |
| >10 000 yuan | 42 (30.21) |
| Birth weight/kg | 3.47±0.42 |
| Gestational age/week | 39.27±1.36 |
| Child gender/n(%) | |
| Male | 56 (40.29) |
| Female | 83 (59.71) |
| Child age/month | 32.91±2.69 |
| DQ of GDS/score | |
| Gross motor | 108.36±11.05 |
| Fine motor | 100.47±13.32 |
| Language | 111.48±12.40 |
| Adaptive | 114.23±8.81 |
| Personal-social | 105.38±11.01 |
| Score of TTS/score | |
| Activity | 3.23±0.57 |
| Rhythm | 2.63±0.57 |
| Withdrawal | 2.94±0.77 |
| Adaptability | 2.90±0.58 |
| Reaction | 3.85±0.60 |
| Mood | 2.66±0.63 |
| Persistence | 2.86±0.66 |
| Attention | 3.72±0.53 |
| Threshold | 3.89±0.75 |
| Heavy metal/metalloid level/(μg·dL-1) | |
| Mn | 3.32 (2.24, 4.63) |
| Pb | 3.60 (2.55, 4.35) |
| As | 2.03 (1.01, 3.35) |
| Cr | 1.78 (0.77, 2.52) |
2.2 出生前母体4种重(类)金属复合暴露对幼儿认知和气质发育的总效应
以出生前母体4种重(类)金属(Mn、Cr、As、Pb)整体浓度处于第50个百分位(P50)水平时的DQ或得分为参照,比较不同百分位数水平下幼儿的神经行为发育水平得分改变的后验均值及其95%CI。
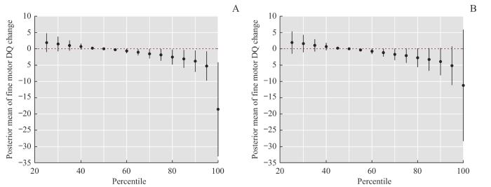
2.2.1 对幼儿精细动作DQ水平的总效应
当4种重(类)金属的整体浓度高于P50时,随着重(类)金属整体浓度的增加,幼儿的精细动作DQ呈下降趋势。当校正混杂因素后,差异无统计学意义,下降趋势无明显变化;与P50时的DQ相比,4种重(类)金属的整体浓度上升至P75时幼儿的精细动作DQ平均下降了2.07(图1)。
图1
图1
通过BKMR模型分析出生前母体4种重(类)金属复合暴露对幼儿精细动作发育的总效应
Note: The overall concentration of the four heavy metals/metalloid (Mn, Cr, As, and Pb) at the P50 level was used as the reference (dashed lines). A. Without adjustment for confounders. B. After adjusting for maternal age, maternal education, gestational age, child age, and child gender.
Fig 1
Total effect of prenatal maternal exposure to a combination of four heavy metals/metalloid on the fine motor development of children by the BKMR model
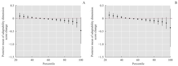
2.2.2 对幼儿气质的适应性维度得分的总效应
当4种重(类)金属的整体浓度高于P50时,随着重(类)金属整体浓度的增加,幼儿的适应性维度得分呈下降趋势,可能提示幼儿倾向于更急切地融入不熟悉的人或环境。当校正混杂因素后,差异无统计学意义,但下降趋势无明显变化;与P50时的得分相比,4种重(类)金属的整体浓度上升至P75时幼儿的适应性维度得分平均下降0.07(图2)。
图2
图2
通过BKMR模型分析出生前母体4种重(类)金属复合暴露对幼儿适应性维度的总效应
Note: The overall concentration of the four heavy metals/metalloid (Mn, Cr, As, and Pb) at the P50 level was used as the reference (dashed lines). A. Without adjustment for confounders. B. After adjusting for maternal age, maternal education, gestational age, child age, and child gender.
Fig 2
Total effect of prenatal maternal exposure to a combination of four heavy metals/metalloid on the adaptive dimension of the children by the BKMR model
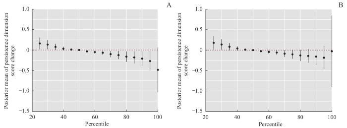
2.2.3 对幼儿气质的坚持性维度得分的总效应
当4种重(类)金属的整体浓度高于P50时,随着重(类)金属整体浓度的增加,幼儿的坚持性维度得分呈下降趋势,提示幼儿倾向于坚持固有的行为方式。当校正混杂因素后,差异无统计学意义,下降趋势无明显变化;与P50时的得分相比,4种重(类)金属的整体浓度上升至P75时幼儿的坚持性维度得分平均下降0.10(图3)。
图3
图3
通过BKMR模型分析出生前母体4种重(类)金属复合暴露对幼儿坚持性维度的总效应
Note: The overall concentration of the four heavy metals/metalloid (Mn, Cr, As, and Pb) at the P50 level was used as the reference (dashed lines). A. Without adjustment for confounders. B. After adjusting for maternal age, maternal education, gestational age, child age, and child gender.
Fig 3
Total effect of prenatal maternal exposure to a combination of four heavy metals/metalloid on the persistence dimension of the children by the BKMR model
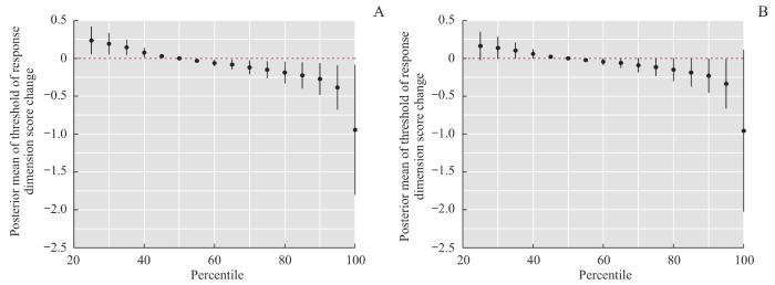
2.2.4 对幼儿气质的反应阈维度得分的总效应
当4种重(类)金属的整体浓度高于P50时,随着重(类)金属整体浓度的增加,幼儿的反应阈维度得分呈下降趋势,提示幼儿倾向于对周围人或环境变化的感应或感受更不敏感。当校正混杂因素后,差异无统计学意义,下降趋势无明显变化;与P50时的得分相比,4种重(类)金属的整体浓度上升至P75时幼儿的反应阈维度得分平均下降0.12(图4)。
图4
图4
通过BKMR模型分析出生前母体4种重(类)金属复合暴露对幼儿反应阈维度的总效应
Note: The overall concentration of the four heavy metals/metalloid (Mn, Cr, As, and Pb) at the P50 level was used as the reference (dashed lines). A. Without adjustment for confounders. B. After adjusting for maternal age, maternal education, gestational age, child age, and child gender.
Fig 4
Total effect of prenatal maternal exposure to a combination of four heavy metals/metalloid on the threshold of response dimension of the children by the BKMR model
2.2.5 对幼儿其他认知维度和气质维度的总效应
在本研究对象的4种重(类)金属的整体浓度范围内,出生前母体的重(类)金属复合暴露水平对幼儿的其他认知维度和气质维度的影响未表现出浓度相关的变化趋势。
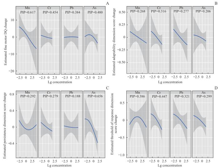
2.3 出生前母体重(类)金属复合暴露对幼儿认知和气质发育影响的主导性分析
图5
图5
基于BKMR模型分析出生前母体4种重(类)金属暴露对幼儿认知和气质发育影响的主导性
Note: The models were adjusted for maternal age, maternal education, gestational age, child age, and child sex. The impact of prenatal maternal exposure to various heavy metals/metalloid on the changes in fine motor DQ (A), and adaptability (B)/persistence (C)/threshold of response (D) dimension scores across different exposure levels was assessed. The figures illustrated the associations between the concentration of a specific heavy metal/metalloid and changes in the DQ value or dimension scores, while the concentration levels of the other three were fixed at the 50th percentile.
Fig 5
Analyses of the dominant effects of prenatal maternal exposure to the four heavy metals/metalloid on cognitive and temperament development in young children based on the BKMR model
2.4 出生前母体4种重(类)金属复合暴露对幼儿认知和气质发育的交互效应
本研究还利用BKMR模型分析了出生前母体双重(类)金属复合暴露对幼儿认知和气质发育的交互效应。结果提示在精细动作发育维度上,Cr、As之间及Cr、Mn之间可能存在一定交互作用;即与出生前较低水平As暴露相比,较高水平的As暴露对于出生前Cr暴露降低精细动作DQ水平可能有协同作用的趋势,Cr和Mn暴露之间的交互作用也与此类似。其余维度上没有发现存在交互作用。
3 讨论
目前关注出生前重金属复合暴露对子代神经行为发育影响的研究较少。本研究结果显示,出生前母体重(类)金属Mn、As、Pb、Cr复合暴露对子代认知和气质发育可能产生不利的影响。更具体地说,在精细动作发育方面,Mn暴露所致的不利影响贡献最大;而对幼儿气质的坚持性和反应阈维度影响方面,As和Cr暴露所致影响的贡献相对较大。
美国疾病控制预防中心在2010年发布的《孕期和哺乳期妇女铅暴露的识别和管理指南》[18]中指出,对静脉血血铅水平大于5 μg/dL的孕妇建议进行随访或干预管理;当孕妇静脉血血铅浓度达到45 μg/dL时建议要按照高危妊娠处理,并进行驱铅螯合治疗或给予其他治疗措施。在本研究中,出生前母亲静脉血全血Pb浓度中位数为3.60 μg/dL。一项2015—2019年韩国的出生队列研究结果[19]显示,孕早、晚期母亲静脉血Pb浓度中位数分别为0.67 μg/dL和0.62 μg/dL。沙特阿拉伯的研究[20]报道,妊娠晚期孕妇血Pb浓度中位数为2.54 μg/dL。墨西哥的研究[21]结果显示,脐带血Pb水平为(4.7±3.1)μg/dL,产后1个月母亲静脉血全血Pb水平为(7.5±4.6)μg/dL。江苏省的一项研究[22]结果显示,孕晚期母亲静脉血Pb中位数浓度为4.05 μg/dL。不同地区的孕期或围生期血铅水平的差异可能与地区经济发展、环境控制和调查人群的生活行为习惯有关。在本研究中,出生前母亲血Mn中位数浓度为3.32 μg/dL。日本的一项研究[23]中,孕中晚期母亲静脉血Mn浓度中位数为1.54 μg/dL。墨西哥的一项队列[24]研究中,孕晚期母亲静脉血Mn浓度中位数为0.99 μg/dL。Mn主要来自饮食摄入,谷物、豆类、茶叶和绿叶蔬菜等植物性食物中Mn的含量最为丰富[25-26],锰铁矿开采、干电池加工与电子垃圾拆解等行业人群和周边地区的人群可能面临更高水平的Mn暴露[27-29],各研究之间Mn水平的差异可能与各地区所调查人群的饮食倾向(如素食主义者)和环境污染控制(如长期接触高锰环境)有关。
目前关于出生前Cr暴露对儿童认知行为发育影响的研究相对较少。本研究中,在4种重(类)金属复合暴露整体效应中,出生前母体Cr暴露对幼儿反应阈维度的效应最强,对精细动作发育的不利影响也较强。与本研究结果类似,西班牙的一项研究[32]发现,尿Cr水平与6~11岁男童总智商水平呈负相关。另一项广东省电子垃圾拆解区的调查研究[33]发现,儿童血Cr值与Conners教师评定量表(Teacher Rating Scale,TRS)中的品行问题、多动问题、不注意-被动、多动指数的得分呈正相关,提示Cr暴露与儿童更高水平的多动、冲动和不顾忌环境可能相关。这些研究均揭示Cr暴露,尤其是生命早期Cr暴露对儿童神经行为发育的影响。
出生前母体Pb暴露与婴幼儿及儿童神经发育损伤密切相关。本研究发现,出生前Pb水平与幼儿神经认知损伤的关联不是最突出的,在对幼儿气质行为发育影响中的贡献也不是最大的,可能与本研究中孕妇血Pb水平相对较低有关。
本研究还提示出生前母体Cr与As双暴露及Cr与Mn双暴露对子代神经行为发育影响之间可能存在交互作用。这些结果尚未被其他研究报道过,还需进一步的研究探讨和验证。
本研究存在以下局限性:首先,本研究样本量相对较少,仅是2家医疗机构部分孕妇的数据,且失访人数较多,不能完全排除失访偏倚。第二,本研究仅测定了出生前母体静脉血中重(类)金属暴露水平,无法排除妊娠不同阶段和出生后重(类)金属复合暴露对幼儿神经认知行为发展影响的干扰。第三,与大多数儿童气质评估工具一样,TTS依赖于抚养人的主观报告,因此可能存在报告偏倚。第四,本研究未进一步探究复合暴露中各重(类)金属发挥效应的权重。
综上所述,出生前母体Cr、Mn、As、Pb 4种重(类)金属复合暴露会对子代认知行为发育造成影响,主要表现为影响精细动作发展和诱发儿童气质行为的改变。这些发现可能有助于加深我们对出生前重(类)金属复合暴露对儿童神经行为发育影响的理解,并可能促进对相关公共卫生政策的研究。
AUTHOR's CONTRIBUTIONS
The study was designed by XU Zujing, JIANG Yining and XU Jian. The manuscript was drafted and revised by XU Zujing and XU Jian. The data analysis was conducted by XU Zujing and JIANG Yining. All the authors have read the last version of paper and consented for submission.
作者贡献声明
徐祖婧、江怡宁、徐健参与研究设计;徐祖婧、徐健参与论文写作和修改;徐祖婧、江怡宁参与数据分析工作。所有作者均阅读并同意最终稿件的提交。
利益冲突声明
所有作者声明不存在利益冲突。
COMPETING INTERESTS
All authors disclose no relevant conflict of interests.
参考文献
/
| 〈 |
|
〉 |

