上海交通大学学报(医学版), 2025, 45(6): 766-773 doi: 10.3969/j.issn.1674-8115.2025.06.012

论著 · 循证医学

孟德尔随机化分析乳糜泻与自身免疫性甲状腺疾病的因果关系

闫军浩,1, 郭晓磊1, 罗昭锋1, 唐坚2, 王争2

1.郑州大学第五附属医院胃肠甲状腺外科,郑州 450052

2.上海交通大学医学院附属仁济医院胃肠外科,上海 200127

Mendelian randomization analysis of causal relationship between celiac disease and autoimmune thyroid disease

YAN Junhao,1, GUO Xiaolei1, LUO Zhaofeng1, TANG Jian2, WANG Zheng2

1.Department of Gastroenterology and Thyroid Surgery, The Fifth Affiliated Hospital of Zhengzhou University, Zhengzhou 450052, China

2.Department of Gastrointestinal Surgery, Renji Hospital, Shanghai Jiao Tong University School of Medicine, Shanghai 200127, China

通讯作者: 闫军浩(1989—),男,主治医师,硕士;电子信箱:yanjh5212014@126.com

编委: 吴洋

收稿日期: 2024-11-03   接受日期: 2025-03-17   网络出版日期: 2025-06-28

基金资助: 国家自然科学基金.  82270552

Corresponding authors: YAN Junhao, E-mail:yanjh5212014@126.com.

Received: 2024-11-03   Accepted: 2025-03-17   Online: 2025-06-28

摘要

目的·通过两样本孟德尔随机化(Mendelian randomization,MR)方法探讨乳糜泻(celiac disease,CeD)与桥本甲状腺炎(Hashimoto thyroiditis,HT)及格雷夫斯病(Graves disease,GD)之间的双向因果关系。方法·从公开的全基因组关联研究(Genome-Wide Association Studies,GWAS)数据库中提取与CeD、HT和GD相关的单核苷酸多态性(single nucleotide polymorphism,SNP)数据,作为工具变量。以逆方差加权法(inverse variance weighted,IVW)作为主要分析方法,同时将MR-Egger法、加权中位数法(weighted median,WME)、加权模式法(weighted mode,WMO)3种方法的结果作为参考,评估CeD与HT及GD之间的因果关联。使用不同的GWAS数据进行重复分析,验证结果的稳健性。通过Cochran's Q检验判断异质性,通过MR-Egger截距检验评估多效性,采用留一法(leave-one-out)分析单个SNP对结果的影响程度。结果·IVW分析结果表明,遗传预测的CeD显著增加HT[试验组:OR=1.186 (95%CI 1.114~1.262),P<0.001;验证组:OR=1.218(95%CI 1.090~1.361),P<0.001]和GD[试验组:OR=1.214 (95%CI 1.155~1.276),P<0.001;验证组:OR=1.273(95%CI 1.161~1.396),P<0.001]的风险。反向MR分析中,HT对CeD不存在因果关系,而遗传预测的GD则显著增加CeD[试验组:OR=1.259(95%CI 1.006~1.576),P=0.044;验证组:OR=1.387(95%CI 1.233~1.560),P<0.001]的风险。敏感性分析表明,结果未受水平多效性的影响。结论·CeD可能增加HT和GD的发病风险,而GD可能增加CeD的发病风险,但HT对CeD不存在影响。

关键词: 乳糜泻 ; 桥本甲状腺炎 ; 格雷夫斯病 ; 孟德尔随机化

Abstract

Objective ·To investigate the bidirectional causal relationships between celiac disease (CeD) and Hashimoto thyroiditis (HT) as well as Graves disease (GD), using a two-sample Mendelian randomization (MR) approach. Methods ·Single nucleotide polymorphisms (SNPs) related to CeD, HT and GD were extracted from publicly available Genome-Wide Association Studies (GWAS) databases and used as instrumental variables. The inverse-variance weighted (IVW) method served as the primary analytical approach, supplemented by MR-Egger, weighted median (WME) and weighted mode (WMO) methods, to evaluate the causal associations between CeD and both HT and GD. Replication analyses using alternative GWAS datasets were conducted to validate the robustness of the results. Heterogeneity was assessed using Cochran's Q test, and pleiotropy was evaluated via MR-Egger intercept test. Leave-one-out analyses were performed to assess the impact of individual SNPs on the results. Results ·The IVW analysis results indicated that genetically predicted CeD significantly increased the risk of HT [discovery group: OR=1.186 (95%CI 1.114‒1.262), P<0.001; replication group: OR=1.218 (95%CI 1.090‒1.361), P<0.001] and GD [discovery group: OR=1.214 (95%CI 1.155‒1.276), P<0.001; replication group: OR=1.273 (95%CI 1.161‒1.396), P<0.001]. However, reverse MR analyses did not provide evidence for a causal relationship between HT and CeD, while genetically predicted GD significantly increased the risk of CeD [discovery group: OR=1.259 (95%CI 1.006‒1.576), P=0.044; replication group: OR=1.387 (95%CI 1.233‒1.560), P<0.001]. Sensitivity analyses suggested that the results were not influenced by horizontal pleiotropy. Conclusion ·CeD may be causally associated with a higher risk of HT and GD, while GD may increase the risk of developing CeD. HT does not appear to have an impact on CeD.

Keywords: celiac disease (CeD) ; Hashimoto thyroiditis (HT) ; Graves disease (GD) ; Mendelian randomization (MR)

PDF (2059KB) 元数据 多维度评价 相关文章 导出 EndNote| Ris| Bibtex  收藏本文

本文引用格式

闫军浩, 郭晓磊, 罗昭锋, 唐坚, 王争. 孟德尔随机化分析乳糜泻与自身免疫性甲状腺疾病的因果关系. 上海交通大学学报(医学版)[J], 2025, 45(6): 766-773 doi:10.3969/j.issn.1674-8115.2025.06.012

YAN Junhao, GUO Xiaolei, LUO Zhaofeng, TANG Jian, WANG Zheng. Mendelian randomization analysis of causal relationship between celiac disease and autoimmune thyroid disease. Journal of Shanghai Jiao Tong University (Medical Science)[J], 2025, 45(6): 766-773 doi:10.3969/j.issn.1674-8115.2025.06.012

乳糜泻(celiac disease,CeD)是一种主要影响小肠的自身免疫性疾病,由遗传易感个体摄入麸质引发1。人群中CeD的患病率为0.5%~2%,在西方国家中较常见2。CeD的临床表现差异较大,从严重的吸收不良到症状轻微或无症状。目前,CeD唯一有效的治疗方法是严格的无麸质饮食1。CeD常与其他自身免疫性疾病并存,尤其是自身免疫性甲状腺疾病(autoimmune thyroid disease,AITD)3。AITD由免疫系统失调引起,导致甲状腺受到免疫攻击,表现为甲状腺实质的淋巴细胞浸润。该病在女性中更为常见,主要包括桥本甲状腺炎(Hashimoto thyroiditis,HT)和格雷夫斯病(Graves disease,GD)4。AITD的患病率在不同地区存在较大差异,全球范围内约为5%5。GD主要由刺激性促甲状腺激素受体抗体引发甲状腺功能亢进,通常表现为甲状腺毒症;HT,也称自身免疫性甲状腺炎,是甲状腺功能减退的主要原因6-8

已有研究9-11表明,CeD患者发生AITD的风险增加。一些回顾性研究12-14显示,AITD患者中CeD的患病率显著升高。然而,现有大部分研究基于观察性研究,可能受到混杂因素和反向因果关系的影响。目前尚不清楚这种关联是否为因果关系,因此需要更为严谨的分析方法。孟德尔随机化(Mendelian randomization,MR)是一种常用的流行病学研究方法,利用遗传变异作为工具变量推断暴露因素与疾病结局之间的因果关系15。相比传统观察性研究,MR研究能够有效避免混杂因素的影响,解决反向因果问题。本研究旨在通过双向两样本MR分析,探讨CeD与AITD之间的潜在因果关系。

1 资料与方法

1.1 研究设计

本研究采用MR方法,利用与暴露因素强相关的遗传变异作为工具变量,评估CeD与AITD之间的因果关系。MR分析基于以下3项核心假设:①相关性假设:工具变量与暴露因素显著相关。②排他性假设:工具变量仅通过暴露因素影响结局。③独立性假设:工具变量与任何混杂因素无关。这些假设有效解决了观察性研究中可能存在的混杂偏倚及反向因果问题。

1.2 数据来源

通过搜索全基因组关联研究(Genome-Wide Association Studies,GWAS)数据库,分别获得与CeD、HT和GD相关的GWAS数据集(表1)。CeD的数据集(试验组:ebi-a-GCST005523)来自IEU Open GWAS数据库,包含23 649个样本。CeD的重复分析数据集(验证组:GCST90436342)来自GWAS Catalog,包含336 638个样本。HT和GD的数据集均来自芬兰数据库16,样本量分别为386 242例和453 733例。

表1   GWAS数据集来源及特征

Tab 1  Sources and characteristics of GWAS datasets

TraitPopulationCase/nControl/nSample size/nSNP number/nYearData source
CeD(ebi-a-GCST005523)European11 81211 83723 64997 4222011IEU Open GWAS
CeD(GCST90436342)European1 855334 783336 63826 043 2992018GWAS Catalog
HT(E4_THYROIDITAUTOIM)European612385 630386 24220 975 0302024Finngen database
GD(E4_GRAVES_STRICT)European3 437450 296453 73320 973 9942024Finngen database

Note: SNP—single nucleotide polymorphism.

新窗口打开| 下载CSV


1.3 工具变量的选择

工具变量的选择需满足以下条件:①仅纳入与暴露因素达到全基因组显著性水平的SNP(P<5×10-8);当HT作为暴露因素时,由于SNP数量有限,采用较为宽松的阈值(P<5×10-6)。②通过连锁不平衡(linkage disequilibrium,LD)验证其独立性,设置LD参数r2<0.001,遗传距离为10 000 kb。③F统计量(F=β2/SE2)用于评估工具变量的强度17,每个工具变量SNP的F值均应大于10,以避免弱工具变量偏倚。④协调过程中剔除等位基因不重合的SNP及回文SNP。⑤通过MR-PRESSO检验18及MR-Radial outlier检验19移除工具变量中的异常值。

1.4 MR分析及敏感性分析

双样本MR分析采用4种方法,包括逆方差加权法(inverse variance weighted,IVW)20、MR-Egger法21、加权中位数法(weighted median,WME)22、加权模式法(weighted mode,WMO)。IVW法为主要的因果关系评估方法。当结果存在异质性时,参考随机效应IVW(random-effects IVW,reIVW)算法的结果。因果效应值以OR和95%CI表示。

敏感性分析用于评估结果的可靠性及稳定性,工具变量的多效性和异质性分别通过MR-Egger截距检验及Cochran's Q统计量评估23-24。采用留一法(leave-one-out)依次剔除工具变量中的各SNP,观察单个SNP对结果的影响程度。所有统计分析均通过R软件(版本4.4.0)中的TwoSampleMR25及RadialMR19软件包完成。P<0.05表示差异具有统计学意义。

2 结果

2.1 CeD对AITD的影响

2.1.1 CeD对HT影响的MR分析结果

在ebi-a-GCST005523试验组数据集中,共纳入32个工具变量SNP,F统计量的平均值为182.7(29.8~1 479.7),表明所使用的工具变量均为强工具变量。IVW分析结果显示,遗传预测的CeD与HT发病风险增加相关(OR=1.186,95%CI 1.114~1.262,P<0.001),MR-Egger、WME和WMO分析也得到了相似的结果(图1)。

图1

图1   CeDAITD影响的MR分析

Fig 1   MR analysis of the impact of CeD on AITD


在GCST90436342验证组数据集中,共纳入8个SNP,F统计量的平均值为181.4(31.0~915.5),表明无弱工具变量偏倚。IVW分析结果提供了强有力的因果关系证据(OR=1.218,95%CI 1.090~1.361,P<0.001)。WME和WMO分析结果同样支持CeD与HT之间的因果关联。尽管MR-Egger分析的结果无统计学意义(OR=1.196,P=0.094),但其效应方向与IVW分析一致。

2.1.2 CeD对GD影响的MR分析结果

在试验组数据集中,共纳入21个工具变量SNP,F统计量的平均值为109.1(29.8~1 123.0),表明无弱工具变量。IVW、MR-Egger、WME和WMO分析均支持遗传预测的CeD与GD发病风险增加之间的关联(均P<0.001,图1)。

在验证组数据集中,共纳入7个SNP,F统计量的平均值为74.1(31.0~242.4),表明不存在弱工具变量偏倚。主要分析方法IVW的结果(OR=1.273,95%CI 1.161~1.396,P<0.001)支持CeD与GD之间的因果关系。WME和WMO的结果与IVW分析结果一致。虽然MR-Egger分析结果无统计学意义(OR=1.221,P=0.071),但其OR值方向与IVW分析一致。

2.2 AITD对CeD影响

2.2.1 HT对CeD影响的MR分析结果

在HT与CeD试验组数据集中,仅有2个SNP符合工具变量标准,F统计量均值为50.0(37.3~58.6),表明不存在弱工具变量。IVW分析结果不支持HT与CeD存在因果关系的假设(P=0.050,图2)。

图2

图2   AITDCeD影响的MR分析

Fig 2   MR analysis of the impact of AITD on CeD


在HT与CeD验证组数据集中,仅有1个SNP符合工具变量标准,无法进行有效的MR分析。因此,本研究未能提供明确证据支持HT与CeD之间存在因果关系。

2.2.2 GD对CeD影响的MR分析结果

在GD与CeD试验组数据集中,共纳入4个符合工具变量标准的SNP,F统计量均值为51.5(34.8~78.8),表明无弱工具变量偏倚。结果存在异质性,故采用reIVW作为主要分析方法,结果显示遗传预测的GD增加了CeD的发病风险(OR=1.259,95%CI 1.006~1.576,P=0.044,图2)。WME分析结果也支持GD与CeD之间的因果关系(P=0.001)。虽然MR-Egger和WMO的结果未显示统计学意义,但效应值方向与reIVW结果一致。

在GD与CeD验证组数据集中,共纳入12个SNP,F统计量的均值为48.8(30.1~111.0),表明不存在弱工具变量。IVW分析结果(OR=1.387,95%CI 1.233~1.560,P<0.001)支持GD增加了CeD的发病风险。WME和WMO的分析结果与IVW一致。尽管MR-Egger结果未显示统计学意义,但其OR值方向与IVW一致。

2.3 敏感性分析

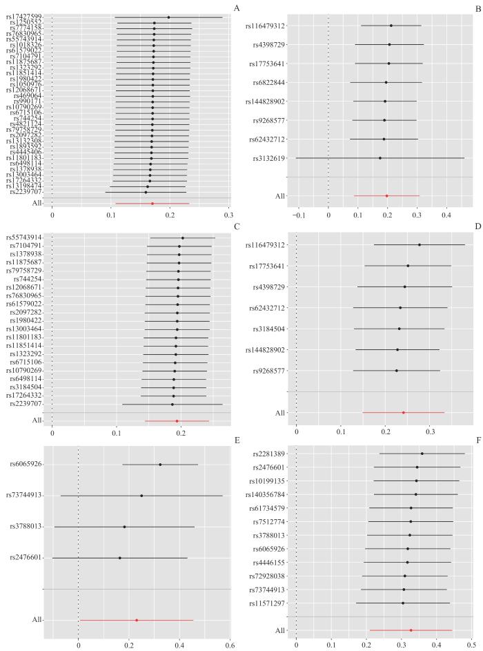
在CeD与HT、CeD与GD的MR分析结果中,无论是对于试验组还是验证组数据集,Cochran's Q检验结果均表明,MR-Egger和IVW分析未发现结果存在显著异质性(均P>0.05,表2)。MR-Egger截距检验显示,MR-Egger的截距项与零值之间的差异无统计学意义(P>0.05),表明工具变量不存在显著的水平多效性。留一法分析未发现单个SNP对结果产生显著异常影响,CeD与HT的MR分析留一法结果见图3A、B,CeD与GD的MR分析留一法结果见图3C、D。

图3

图3   留一法敏感性分析结果

Note: A/B. Effect of CeD on HT. C/D. Effect of CeD on GD. E/F. Effect of GD on CeD.

Fig 3   Results of the leave-one-out sensitivity analysis


2 异质性和多效性检验分析结果

Tab 2 Results of heterogeneity and pleiotropy tests

  

Exposure-OutcomeMethodHeterogeneityPleiotropy
Cochran's QP valueInterceptSEP value
ebi-a-GCST005523-HTMR Egger20.950.890<0.0010.020.930
IVW20.960.910
GCST90436342-HTMR Egger9.810.1300.0200.080.790
IVW9.940.190
ebi-a-GCST005523-GDMR Egger16.700.610-0.0100.010.620
IVW16.950.660
GCST90436342-GDMR Egger5.030.4100.0200.030.600
IVW5.340.500
GD-ebi-a-GCST005523MR Egger10.95<0.001-0.0200.090.840
IVW11.230.010
GD-GCST90436342MR Egger9.540.4800.0100.040.780
IVW9.620.560

新窗口打开| 下载CSV


在GD与CeD的试验组数据集MR分析结果中,Cochran's Q检验表明结果存在异质性(均P<0.05,表2),这可能与分析使用的数据集中不同人群的特征或遗传背景差异有关。而在GD与CeD验证组数据集中,Cochran's Q检验结果表明不存在显著异质性(均P>0.05)。MR-Egger检验显示不存在显著水平多效性(P>0.05)。留一法分析未发现显著异常的工具变量(图3E、F)。敏感性分析结果进一步验证了MR分析的稳定性和可靠性。

3 讨论

本研究通过两样本MR分析,明确了CeD与AITD之间的因果关系,发现遗传预测的CeD显著增加了HT和GD的发病风险;反向MR分析结果显示,GD与CeD发病风险呈正相关,而HT与CeD之间不存在因果关联。有研究22表明,CeD与AITD之间可能具有共同的发病机制,如肠道菌群失调和免疫系统失衡,这在一定程度上解释了它们之间的因果关联。GD是一种以甲状腺功能亢进为主要特征的疾病,可能通过其自身免疫机制加剧小肠黏膜的免疫反应,进而诱发或加重CeD3。HT与CeD之间的相关性可能更多归因于共享的遗传背景或环境因素,而非直接的因果关联926-27

AITD是与CeD相关的最常见的自身免疫性疾病3。COLLIN等28研究发现,在335例CeD患者中,5.4%患有AITD(包括GD和HT导致的甲状腺功能减退),而年龄和性别相匹配的具有胃肠道症状的非CeD对照组的患病率为2.7%。HAKANEN等29在79例CeD患者中发现,有13.9%的患者同时患有AITD,而在184名非CeD对照人群中,这一比例仅为2.1%。HADITHI等30对荷兰184例CeD患者的研究发现,39例(21%)患者合并AITD,其中4例(2%)患有GD。REUNALA等31对383例CeD患者进行了平均长达10年的随访,发现6.0%的患者出现了AITD。在一项针对241例意大利CeD患者的前瞻性研究中,SATEGNA-GUIDETTI等32发现,39例(16.2%)CeD患者合并甲状腺功能正常的AITD,而在性别、种族和年龄相匹配的健康对照组中仅占3.8%。此外,瑞典的一项大数据研究33表明,CeD患者发生甲状腺功能亢进的风险是非CeD人群的3~4倍。SUN等34进行了一项涵盖15 629例CeD病例和79 342例健康对照的meta分析,发现CeD患者罹患甲状腺疾病的风险增加了3倍,而甲状腺功能正常的人群罹患AITD的风险增加了4倍以上。一项基于意大利人群的纵向研究35显示,CeD患者发生自身免疫性甲状腺功能减退症的风险是健康对照者的4倍。这些研究结果表明,CeD与AITD的发病风险升高相关,可能是AITD发病的危险因素。但是,观察性研究可能受到混杂因素的影响,因此无法得出可靠的因果推断。本研究通过MR方法消除了混杂偏倚,增强了因果推断的可靠性,敏感性分析进一步增加了研究结果的可信度。

多项研究36结果表明,AITD患者的CeD患病率升高,但估计值差异较大。SPADACCINO等37的研究纳入276例意大利AITD患者,结果显示CeD的患病率为5.4%,显著高于一般人群。TEIXEIRA等38报道,在巴西254例AITD患者中,CeD患病率为1.2%。BERTI等39在一项筛查研究中发现,172例AITD患者的CeD阳性率为3.4%。ROY等12通过一项涉及6 024例AITD患者的meta分析发现,在1.6%的AITD患者中存在活检证实的CeD,这一比例高于正常人群的筛查结果。此外,荷兰的一项研究发现,在104例HT患者中,5例(4.8%)诊断为CeD30。CH'NG等40在英国进行了一项前瞻性研究,筛查111例GD患者,发现CeD患病率为4.5%,而匹配的健康对照组为0.9%。这些研究结果表明,AITD可能增加CeD的发病风险,但不能确定其因果关系。本研究通过MR分析克服了传统观察性研究的局限性,提供了更为可靠的证据,支持GD与CeD之间的因果关系。然而,本研究结果不支持HT与CeD之间存在因果关系的论断。

本研究通过MR方法评估CeD与AITD之间的因果关系,减少了混杂因素的影响,提供了更为可靠的证据,并通过试验组与验证组的相互验证,增强了结果的稳健性。数据集样本来自无重叠的欧洲人群,提高了结论的可信度。然而,本研究也存在一些局限性:①研究资料仅限于欧洲人群的遗传数据,该结果在其他种族人群中的适用性有待进一步验证。未来的研究应考虑纳入不同种族及更大样本量的数据。②由于HT作为暴露因素时,符合条件的工具变量过少且未达到全基因组显著性水平(P<5×10-8),无法得出可靠的结论。未来研究可通过增加遗传标记提高分析的精度。③本研究未探讨环境因素对CeD与AITD之间因果关系的影响。④由于本研究采用的是汇总数据集,无法进行基于性别或年龄的分层亚组分析。⑤缺乏对潜在机制的深入探讨。

综上所述,本研究通过两样本MR分析发现,CeD可能增加HT和GD的发病风险,而GD则可能增加CeD的发病风险。这一发现为CeD与AITD之间的因果关联研究提供了依据,提示临床上应加强CeD患者的甲状腺功能监测,以便及早发现并管理AITD。对于GD患者,如出现消化道症状,需警惕CeD的可能性。未来研究应深入探讨其潜在的免疫学机制,并在不同种族人群中验证这一因果关系,从而推动疾病的早期预防和干预。

作者贡献声明

闫军浩、郭晓磊、罗昭锋负责数据收集与统计分析、论文修订,闫军浩负责文献检索、论文撰写,闫军浩、唐坚、王争负责研究方案设计和论文的最终审核。所有作者均阅读并同意了最终稿件的提交。

AUTHOR's CONTRIBUTIONS

YAN Junhao, GUO Xiaolei and LUO Zhaofeng were responsible for data collection and statistical analysis, as well as manuscript revision. YAN Junhao conducted literature search and manuscript writing. YAN Junhao, TANG Jian and WANG Zheng were responsible for the research design and final review of the paper. All authors have read and approved the final version of the manuscript to submission.

利益冲突声明

所有作者声明不存在利益冲突。

COMPETING INTERESTS

All authors disclose no relevant conflict of interests.

参考文献

CAIO G, VOLTA U, SAPONE A, et al. Celiac disease: a comprehensive current review[J]. BMC Med, 2019, 17(1): 142.

[本文引用: 2]

CATASSI C, VERDU E F, BAI J C, et al. Coeliac disease[J]. Lancet, 2022, 399(10344): 2413-2426.

[本文引用: 1]

ASHOK T, PATNI N, FATIMA M, et al. Celiac disease and autoimmune thyroid disease: the two peas in a pod[J]. Cureus, 2022, 14(6): e26243.

[本文引用: 3]

ANTONELLI A, FERRARI S M, CORRADO A, et al. Autoimmune thyroid disorders[J]. Autoimmun Rev, 2015, 14(2): 174-180.

[本文引用: 1]

LEE H J, LI C W, HAMMERSTAD S S, et al. Immunogenetics of autoimmune thyroid diseases: a comprehensive review[J]. J Autoimmun, 2015, 64: 82-90.

[本文引用: 1]

RALLI M, ANGELETTI D, FIORE M, et al. Hashimoto's thyroiditis: an update on pathogenic mechanisms, diagnostic protocols, therapeutic strategies, and potential malignant transformation[J]. Autoimmun Rev, 2020, 19(10): 102649.

[本文引用: 1]

PETRANOVIĆ OVČARIČEK P, GÖRGES R, GIOVANELLA L. Autoimmune thyroid diseases[J]. Semin Nucl Med, 2024, 54(2): 219-236.

金晶, 胡耀敏, 刘伟. 硒治疗自身免疫性甲状腺炎的系统评价[J]. 上海交通大学学报(医学版), 2010, 30(11): 1356-1360.

[本文引用: 1]

JIN J, HU Y M, LIU W. Systematic evaluation of selenium in treatment of autoimmune thyroiditis[J]. Journal of Shanghai Jiao Tong University (Medical Science), 2010, 30(11): 1356-1360.

[本文引用: 1]

KAHALY G J, FROMMER L, SCHUPPAN D. Celiac disease and glandular autoimmunity[J]. Nutrients, 2018, 10(7): E814.

[本文引用: 2]

ZINGONE F, BAI J C, CELLIER C, et al. Celiac disease-related conditions: who to test?[J]. Gastroenterology, 2024, 167(1): 64-78.

DUNTAS L H. Does celiac disease trigger autoimmune thyroiditis?[J]. Nat Rev Endocrinol, 2009, 5(4): 190-191.

[本文引用: 1]

ROY A, LASZKOWSKA M, SUNDSTRÖM J, et al. Prevalence of celiac disease in patients with autoimmune thyroid disease: a meta-analysis[J]. Thyroid, 2016, 26(7): 880-890.

[本文引用: 2]

IUORIO R, MERCURI V, BARBARULO F, et al. Prevalence of celiac disease in patients with autoimmune thyroiditis[J]. Minerva Endocrinol, 2007, 32(4): 239-243.

BIBBÒ S, PES G M, USAI-SATTA P, et al. Chronic autoimmune disorders are increased in coeliac disease: a case-control study[J]. Medicine (Baltimore), 2017, 96(47): e8562.

[本文引用: 1]

BIRNEY E. Mendelian randomization[J]. Cold Spring Harb Perspect Med, 2022, 12(4): a041302.

[本文引用: 1]

KURKI MITJA I, JUHA K, PRIIT P, et al. FinnGen provides genetic insights from a well-phenotyped isolated population[J]. Nature, 2023, 613(7944): 508-518.

[本文引用: 1]

BOWDEN J, DEL GRECO M F, MINELLI C, et al. Improving the accuracy of two-sample summary-data Mendelian randomization: moving beyond the NOME assumption[J]. Int J Epidemiol, 2019, 48(3): 728-742.

[本文引用: 1]

VERBANCK M, CHEN C Y, NEALE B, et al. Detection of widespread horizontal pleiotropy in causal relationships inferred from Mendelian randomization between complex traits and diseases[J]. Nat Genet, 2018, 50(5): 693-698.

[本文引用: 1]

BOWDEN J, SPILLER W, DEL GRECO M F, et al. Improving the visualization, interpretation and analysis of two-sample summary data Mendelian randomization via the Radial plot and Radial regression[J]. Int J Epidemiol, 2018, 47(4): 1264-1278.

[本文引用: 2]

SLOB E A W, BURGESS S. A comparison of robust Mendelian randomization methods using summary data[J]. Genet Epidemiol, 2020, 44(4): 313-329.

[本文引用: 1]

BURGESS S, THOMPSON S G. Interpreting findings from Mendelian randomization using the MR-Egger method[J]. Eur J Epidemiol, 2017, 32(5): 377-389.

[本文引用: 1]

BOWDEN J, DAVEY SMITH G, HAYCOCK P C, et al. Consistent estimation in mendelian randomization with some invalid instruments using a weighted Median estimator[J]. Genet Epidemiol, 2016, 40(4): 304-314.

[本文引用: 2]

BOWDEN J, DAVEY SMITH G, BURGESS S. Mendelian randomization with invalid instruments: effect estimation and bias detection through egger regression[J]. Int J Epidemiol, 2015, 44(2): 512-525.

[本文引用: 1]

GRECO M F D, MINELLI C, SHEEHAN N A, et al. Detecting pleiotropy in Mendelian randomisation studies with summary data and a continuous outcome[J]. Stat Med, 2015, 34(21):2926-2940.

[本文引用: 1]

HEMANI G, ZHENG J, ELSWORTH B, et al. The MR-Base platform supports systematic causal inference across the human phenome[J]. eLife, 2018, 7: e34408.

[本文引用: 1]

乔佳君, 张新杰, 楼鹏飞, 等. 桥本甲状腺炎合并乳糜泻的共病机制与疾病管理研究进展[J]. 医学综述, 2021, 27(17): 3339-3344.

[本文引用: 1]

QIAO J J, ZHANG X J, LOU P F, et al. Research progress in comorbidity mechanism and disease management of Hashimoto's thyroiditis complicated with celiac disease[J]. Medical Recapitulate, 2021, 27(17): 3339-3344.

[本文引用: 1]

MORMILE R. Celiac disease and Hashimoto's thyroiditis: a shared plot?[J]. Int J Colorectal Dis, 2016, 31(4): 947.

[本文引用: 1]

COLLIN P, REUNALA T, PUKKALA E, et al. Coeliac disease: associated disorders and survival[J]. Gut, 1994, 35(9): 1215-1218.

[本文引用: 1]

HAKANEN M, LUOTOLA K, SALMI J, et al. Clinical and subclinical autoimmune thyroid disease in adult celiac disease[J]. Dig Dis Sci, 2001, 46(12): 2631-2635.

[本文引用: 1]

HADITHI M, DE BOER H, MEIJER J W, et al. Coeliac disease in Dutch patients with Hashimoto's thyroiditis and vice versa[J]. World J Gastroenterol, 2007, 13(11): 1715-1722.

[本文引用: 2]

REUNALA T, COLLIN P. Diseases associated with dermatitis herpetiformis[J]. Br J Dermatol, 1997, 136(3): 315-318.

[本文引用: 1]

SATEGNA-GUIDETTI C, VOLTA U, CIACCI C, et al. Prevalence of thyroid disorders in untreated adult celiac disease patients and effect of gluten withdrawal: an Italian multicenter study[J]. Am J Gastroenterol, 2001, 96(3): 751-757.

[本文引用: 1]

ELFSTRÖM P, MONTGOMERY S M, KÄMPE O, et al. Risk of thyroid disease in individuals with celiac disease[J]. J Clin Endocrinol Metab, 2008, 93(10): 3915-3921.

[本文引用: 1]

SUN X, LU L, YANG R, et al. Increased incidence of thyroid disease in patients with celiac disease: a systematic review and meta-analysis[J]. PLoS One, 2016, 11(12): e0168708.

[本文引用: 1]

CANOVA C, PITTER G, LUDVIGSSON J F, et al. Celiac disease and risk of autoimmune disorders: a population-based matched birth cohort study[J]. J Pediatr, 2016, 174: 146-152.e1.

[本文引用: 1]

LERNER A, JEREMIAS P, MATTHIAS T. Gut-thyroid axis and celiac disease[J]. Endocr Connect, 2017, 6(4): R52-R58.

[本文引用: 1]

SPADACCINO A C, BASSO D, CHIARELLI S, et al. Celiac disease in North Italian patients with autoimmune thyroid diseases[J]. Autoimmunity, 2008, 41(1): 116-121.

[本文引用: 1]

TEIXEIRA L M, NISIHARA R, UTIYAMA S R, et al. Screening of celiac disease in patients with autoimmune thyroid disease from Southern Brazil[J]. Arq Bras Endocrinol Metabol, 2014, 58(6): 625-629.

[本文引用: 1]

BERTI I, TREVISIOL C, TOMMASINI A, et al. Usefulness of screening program for celiac disease in autoimmune thyroiditis[J]. Dig Dis Sci, 2000, 45(2): 403-406.

[本文引用: 1]

CHNG C L, BISWAS M, BENTON A, et al. Prospective screening for coeliac disease in patients with Graves' hyperthyroidism using anti-gliadin and tissue transglutaminase antibodies[J]. Clin Endocrinol (Oxf), 2005, 62(3): 303-306.

[本文引用: 1]

/