上海交通大学学报(医学版) ›› 2025, Vol. 45 ›› Issue (7): 858-865.doi: 10.3969/j.issn.1674-8115.2025.07.007

• 论著 · 基础研究 • 上一篇    

基于数字光处理技术的牙科冠桥树脂制备及其打印参数优化研究

刘俊龙1, 马佳音2, 赵喆3(), 熊耀阳1(), 郑元俐1()   

  1. 1.上海交通大学医学院附属第九人民医院第一口腔门诊,上海交通大学口腔医学院,国家口腔医学中心,国家口腔疾病临床医学研究中心,上海市口腔医学重点实验室,上海市口腔医学研究所,上海 200011
    2.上海交通大学医学院附属第九人民医院口腔修复科,上海交通大学口腔医学院,国家口腔医学中心,国家口腔疾病临床医学研究中心,上海市口腔医学重点实验室,上海市口腔医学研究所,上海 200011
    3.上海应用技术学院材料科学与工程学院,上海 201418
  • 收稿日期:2024-11-26 接受日期:2025-03-05 出版日期:2025-07-28 发布日期:2025-07-28
  • 通讯作者: 郑元俐,教授,博士;电子信箱:zhengyuanli2017@163.com
    熊耀阳,副主任医师,博士;电子信箱:yaoyang_x@163.com
    赵 喆,教授,博士;电子信箱:zhezhao@sit.edu.cn
  • 作者简介:第一联系人:刘俊龙、 马佳音为共同第一作者(co-first authors)。
  • 基金资助:
    上海市卫生健康委员会卫生行业临床研究专项(202440008);上海市自然科学基金(23ZR1453600)

Optimization of optimal printing parameters and composition ratio of dental crown and bridge resin based on digital light processing technology

LIU Junlong1, MA Jiayin2, ZHAO Zhe3(), XIONG Yaoyang1(), ZHENG Yuanli1()   

  1. 1.Department of First Dental Clinic, Shanghai Ninth People's Hospital, Shanghai Jiao Tong University School of Medicine; College of Stomatology, Shanghai Jiao Tong University; National Center for Stomatology; National Clinical Research Center for Oral Diseases; Shanghai Key Laboratory of Stomatology; Shanghai Research Institute of Stomatology, Shanghai 200011, China
    2.Department of Prosthodontics, Shanghai Ninth People's Hospital, Shanghai Jiao Tong University School of Medicine; College of Stomatology, Shanghai Jiao Tong University; National Center for Stomatology; National Clinical Research Center for Oral Diseases; Shanghai Key Laboratory of Stomatology; Shanghai Research Institute of Stomatology, Shanghai 200011, China
    3.School of Material Science and Engineering, Shanghai Institute of Technology, Shanghai 201418, China
  • Received:2024-11-26 Accepted:2025-03-05 Online:2025-07-28 Published:2025-07-28
  • Contact: ZHENG Yuanli, E-mail: zhengyuanli2017@163.com.
    XIONG Yaoyang, E-mail: yaoyang_x@163.com.
    ZHAO Zhe, E-mail: zhezhao@sit.edu.cn.
  • Supported by:
    Health Industry Clinical Research Special Project of Shanghai Health Commission(202440008);Natural Science Foundation of Shanghai(23ZR1453600)

摘要:

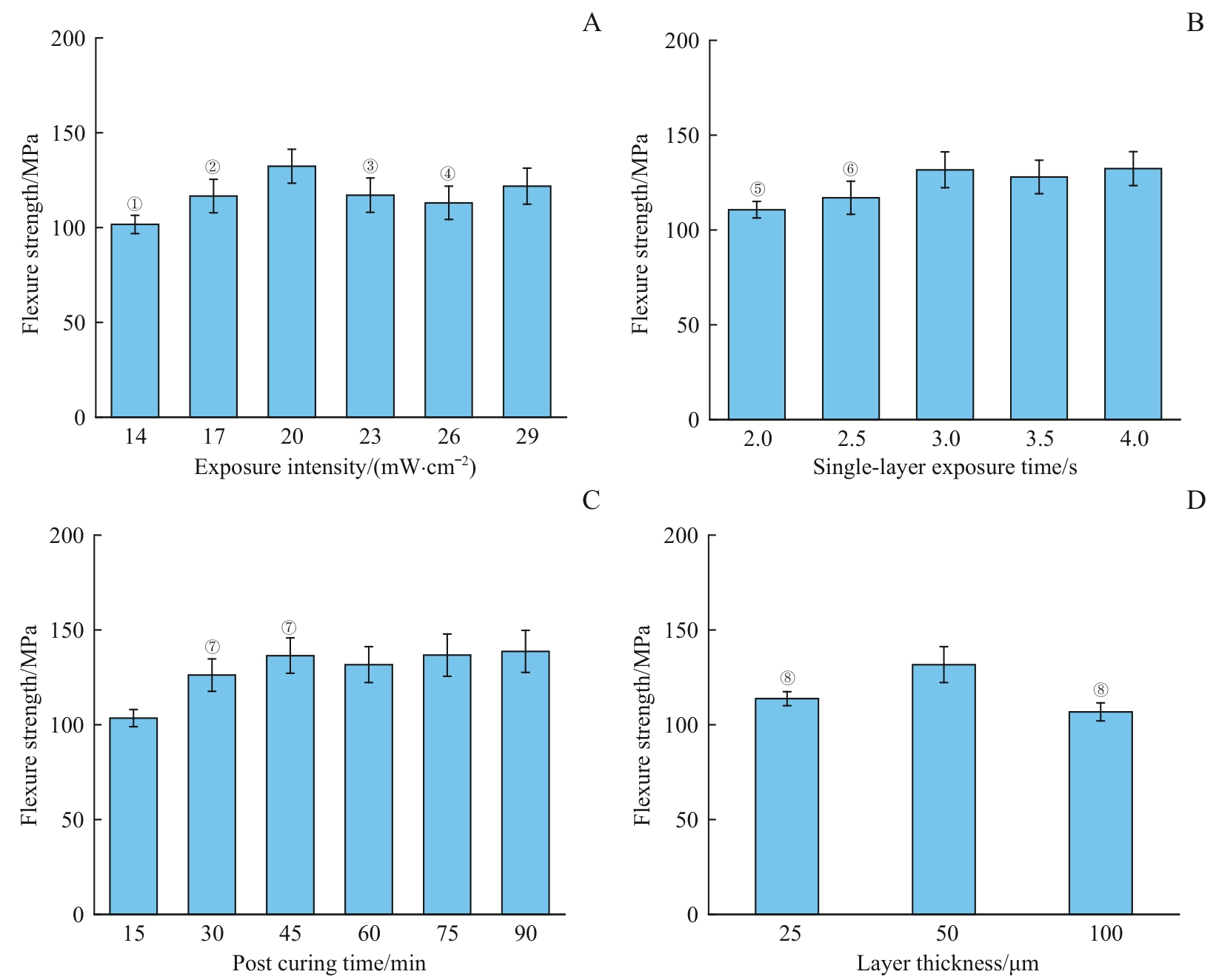
目的·构建基于数字光处理(digital light processing,DLP)技术成形的3D打印牙科冠桥树脂浆料,研究不同打印参数对其机械性能的影响,确定最佳打印参数,优化DLP打印冠桥树脂的成分比例。方法·基于混合物黏度特性,探究二甲基丙烯酸氨基甲酸酯(urethane dimethacrylate,UDMA)与聚乙二醇甲基丙烯酸二酯[poly (propylene glycol) dimethacrylate,PPGDMA]的最佳配比;对纳米二氧化硅(silicon dioxide,SiO2)进行硅烷化处理后,与UDMA、PPGDMA以及2,4,6-三甲基苯甲酰基二甲苯基氧化膦[2,4,6-trimethylbenzoyl bis (p-tolyl) phosphine oxide,TMO]混合,制备不同固含量的DLP打印冠桥树脂浆料,测试其流变性能;利用Beer-Lambert方程计算打印浆料的光穿透深度(Dp)及临界曝光能量(Ec);基于浆料的光穿透深度和临界曝光能量,分别设置不同曝光强度、曝光时间、后固化时间和层厚,开展一系列打印实验。通过对比分析不同打印参数下成品的抗弯强度,筛选出最优打印参数组合。结果·通过测试UDMA和PPGDMA不同比例的黏度值,确定UDMA与PPGDMA的最佳配比为6∶4;对不同固含量的打印浆料进行流变行为测试,结果显示,固含量为22%的DLP打印冠桥树脂展现出最佳打印性能;经Beer-Lambert方程拟合分析,计算出打印浆料的Dp=119.79 μm,Ec=25.54 mJ/cm2。测试不同曝光强度下的抗弯性能,发现当曝光强度为20 mW/cm2时,弯曲强度值达到最大值(132.39±8.92)MPa,且差异具有统计学意义(P<0.05);不同曝光时间的抗弯结果显示,单层曝光时间3.0 s时弯曲强度即可达到(131.73±9.43)MPa,继续增加曝光时间,无显著差异;不同后固化时间的抗弯结果显示,当后固化时间达到30 min后,随着后固化时间增加,弯曲强度值无显著变化;关于不同层厚对抗弯性能的影响,测试结果显示,当层厚为50 μm时,结果表现最优,且差异具有统计学意义(P<0.001)。结论·经过黏度和流变性能测试,成功制备出适用于DLP打印的冠桥树脂浆料。通过对不同打印参数下抗弯强度的统计学分析,最终确定最佳打印参数组合:曝光强度为20 mW/cm2,曝光时间为3.0 s,后固化时间为30 min,层厚设定为50 μm。

关键词: 数字光处理技术, 牙科冠桥树脂, 打印参数, 黏度, 光穿透深度, 抗弯强度

Abstract:

Objective ·To fabricate a 3D-printed dental crown and bridge resin slurry using digital light processing (DLP) technology, investigate the influence of different printing parameters on its mechanical properties, determine the optimal printing parameters, and optimize the composition ratio of DLP-printed crown and bridge resin. Methods ·Based on the viscosity characteristics of the mixture, the optimal ratio of urethane dimethacrylate (UDMA) to poly (propylene glycol) dimethacrylate (PPGDMA) was explored. After silanizing silicon dioxide (SiO2), it was mixed with UDMA, PPGDMA, and 2,4,6-trimethylbenzoyl bis (p-tolyl) phosphine oxide (TMO) to prepare DLP-printed dental crown and bridge resin slurries with different solid contents, and their rheological properties were tested. The Beer-Lambert equation was used to calculate the light penetration depth and critical exposure energy of the printing slurry. Based on these values, different exposure intensities, exposure times, post-curing times, and layer thicknesses were set respectively to carry out a series of printing experiments. By comparing and analyzing the flexural strength of the products under different printing parameters, the optimal printing parameter combination was screened out. Results ·Viscosity tests showed that the optimal UDMA-to-PPGDMA ratio was 6∶4. The rheological behavior of printing slurries with different solid contents was tested, and the results showed that the DLP-printed dental crown and bridge resin with a solid content of 22% exhibited the best printing performance. According to the Beer-Lambert analysis, the light penetration depth Dp of the printing slurry was 119.79 μm, and the critical exposure energy Ec was 25.54 mJ/cm2. When the exposure intensity was 20 mW/cm², the flexural strength reached a maximum of (132.39±8.92) MPa, and the difference was statistically significant (P<0.05). The flexural results of different exposure times showed that the flexural strength could reach (131.73±9.43) MPa when the single-layer exposure time was 3.0 s, and there was no significant difference when the exposure time was further increased. The flexural results of different post-curing times showed that when the post-curing time reached 30 min, there was no significant relationship between the flexural strength value and the increase in post-curing time. Regarding the influence of different layer thicknesses on the flexural performance, the test results showed that when the layer thickness was 50 μm, the result was the best, and the difference was statistically significant (P<0.001). Conclusion ·Based on viscosity and rheological tests, a DLP-printable crown and bridge resin slurry was successfully developed. The optimal printing parameters were determined through statistical analysis of flexural strength: exposure intensity of 20 mW/cm², exposure time of 3.0 s, post-curing time of 30 min, and a layer thickness of 50 μm.

Key words: digital light processing technology, dental crown and bridge resin, printing parameters, viscosity, light penetration depth, flexural strength

中图分类号: