
Journal of Shanghai Jiao Tong University (Medical Science) ›› 2026, Vol. 46 ›› Issue (4): 509-520.doi: 10.3969/j.issn.1674-8115.2026.04.011
• Techniques and methods • Previous Articles
Zhu Menglin1, Liu Xiao2, Xu Xiaodan1, Wang Ganhong3, Xia Kaijian4, Chen Jian1,4(
)
Received:2025-11-04
Accepted:2026-02-28
Online:2026-04-16
Published:2026-04-16
Contact:
Chen Jian
E-mail:szcs10132716@163.com
Supported by:CLC Number:
Zhu Menglin, Liu Xiao, Xu Xiaodan, Wang Ganhong, Xia Kaijian, Chen Jian. Prediction of delayed post-polypectomy bleeding using a multimodal model[J]. Journal of Shanghai Jiao Tong University (Medical Science), 2026, 46(4): 509-520.
Add to citation manager EndNote|Ris|BibTeX
URL: https://xuebao.shsmu.edu.cn/EN/10.3969/j.issn.1674-8115.2026.04.011
| Feature | Training set (n=1 947) | Test set (n=835) | t/Z/χ2 | P value |
|---|---|---|---|---|
| Age/year | 58.50±11.30 | 58.19±10.93 | 0.668 | 0.507 |
| DBIL/(μmol·L-1) | 5.01 (1.73, 8.98) | 4.79 (1.94, 8.14) | 1.801 | 0.214 |
| TBIL/(μmol·L-1) | 29.01 (10.97, 48.23) | 26.47 (11.87, 46.33) | 1.771 | 0.218 |
| Cholesterol/(mmol·L-1 ) | 7.88 (6.76, 8.98) | 7.75 (6.68, 8.80) | 1.959 | 0.047 |
| AST/(U·L-1 ) | 100.59 (78.61, 124.08) | 101.89 (79.45, 122.13) | 0.293 | 0.946 |
| Platelet count/(109·L-1) | 246.20 (186.34, 311.28) | 249.63 (180.30, 311.17) | -0.023 | 0.982 |
| BUN/(mg·dL-1 ) | 6.33 (4.76, 7.86) | 6.29 (4.85, 7.96) | -0.512 | 0.545 |
| ALP/(U·L-1 ) | 110.63 (81.65, 140.05) | 109.15 (80.61, 140.26) | 0.523 | 0.531 |
| BMI/(kg·m-2) | 24.10 (22.10, 26.20) | 24.00 (22.10, 26.20) | 0.316 | 0.667 |
| PT/s | 11.73±0.82 | 11.70±0.86 | 0.804 | 0.415 |
| INR | 1.02 (0.98, 1.06) | 1.02 (0.98, 1.06) | 1.391 | 0.110 |
| Albumin/(g·L-1) | 41.67 (38.33, 44.34) | 41.59 (38.52, 44.49) | -0.711 | 0.712 |
| Maximum basal diameter/cm | 1.76 (1.33, 2.27) | 1.69 (1.29, 2.19) | 2.023 | 0.056 |
| E-Score | 0 (0, 0.02) | 0 (0, 0.03) | -1.512 | 0.042 |
| Smoking/n(%) | 2.496 | 0.114 | ||
| No | 1 801 (92.5) | 787 (94.3) | ||
| Yes | 146 (7.5) | 48 (5.7) | ||
| Alcohol consumption/n(%) | 0.477 | 0.490 | ||
| No | 1 588 (81.6) | 671 (80.4) | ||
| Yes | 359 (18.4) | 164 (19.6) | ||
| Hypertension/n(%) | 949 (48.7) | 420 (50.3) | 0.507 | 0.477 |
| No | ||||
| Yes | 998 (51.3) | 415 (49.7) | ||
| Coronary heart disease/n(%) | 0.342 | 0.559 | ||
| No | 344 (17.7) | 156 (18.7) | ||
| Yes | 1 603 (82.3) | 679 (81.3) | ||
| Gender/n(%) | 1.384 | 0.239 | ||
| Female | 1 026 (52.7) | 461 (55.2) | ||
| Male | 921 (47.3) | 374 (44.8) | ||
| Diabetes mellitus/n(%) | 1 614 (82.9) | 675 (80.8) | 1.560 | 0.212 |
| No | ||||
| Yes | 333 (17.1) | 160 (19.2) | ||
| Pedunculated status/n(%) | 0.761 | 0.383 | ||
| No | 1 370 (70.4) | 573 (68.6) | ||
| Yes | 577 (29.6) | 262 (31.4) | ||
| Antithrombotic drug use history/n(%) | 0.010 | 0.982 | ||
| No | 1 847 (94.9) | 793 (95.0) | ||
| Yes | 100 (5.1) | 42 (5.0) | ||
| Polyp location/n(%) | 5.139 | 0.077 | ||
| Left colon | 769 (39.5) | 334 (40.0) | ||
| Right colon | 571 (29.3) | 273 (32.7) | ||
| Bilateral colon | 607 (31.2) | 228 (27.3) | ||
| Number of polyps/n(%) | 0.153 | 0.696 | ||
| <3 | 1 551 (79.7) | 659 (78.9) | ||
| ≥3 | 396 (20.3) | 176 (21.1) |
Tab 1 Comparison of baseline data between the training set and the test set
| Feature | Training set (n=1 947) | Test set (n=835) | t/Z/χ2 | P value |
|---|---|---|---|---|
| Age/year | 58.50±11.30 | 58.19±10.93 | 0.668 | 0.507 |
| DBIL/(μmol·L-1) | 5.01 (1.73, 8.98) | 4.79 (1.94, 8.14) | 1.801 | 0.214 |
| TBIL/(μmol·L-1) | 29.01 (10.97, 48.23) | 26.47 (11.87, 46.33) | 1.771 | 0.218 |
| Cholesterol/(mmol·L-1 ) | 7.88 (6.76, 8.98) | 7.75 (6.68, 8.80) | 1.959 | 0.047 |
| AST/(U·L-1 ) | 100.59 (78.61, 124.08) | 101.89 (79.45, 122.13) | 0.293 | 0.946 |
| Platelet count/(109·L-1) | 246.20 (186.34, 311.28) | 249.63 (180.30, 311.17) | -0.023 | 0.982 |
| BUN/(mg·dL-1 ) | 6.33 (4.76, 7.86) | 6.29 (4.85, 7.96) | -0.512 | 0.545 |
| ALP/(U·L-1 ) | 110.63 (81.65, 140.05) | 109.15 (80.61, 140.26) | 0.523 | 0.531 |
| BMI/(kg·m-2) | 24.10 (22.10, 26.20) | 24.00 (22.10, 26.20) | 0.316 | 0.667 |
| PT/s | 11.73±0.82 | 11.70±0.86 | 0.804 | 0.415 |
| INR | 1.02 (0.98, 1.06) | 1.02 (0.98, 1.06) | 1.391 | 0.110 |
| Albumin/(g·L-1) | 41.67 (38.33, 44.34) | 41.59 (38.52, 44.49) | -0.711 | 0.712 |
| Maximum basal diameter/cm | 1.76 (1.33, 2.27) | 1.69 (1.29, 2.19) | 2.023 | 0.056 |
| E-Score | 0 (0, 0.02) | 0 (0, 0.03) | -1.512 | 0.042 |
| Smoking/n(%) | 2.496 | 0.114 | ||
| No | 1 801 (92.5) | 787 (94.3) | ||
| Yes | 146 (7.5) | 48 (5.7) | ||
| Alcohol consumption/n(%) | 0.477 | 0.490 | ||
| No | 1 588 (81.6) | 671 (80.4) | ||
| Yes | 359 (18.4) | 164 (19.6) | ||
| Hypertension/n(%) | 949 (48.7) | 420 (50.3) | 0.507 | 0.477 |
| No | ||||
| Yes | 998 (51.3) | 415 (49.7) | ||
| Coronary heart disease/n(%) | 0.342 | 0.559 | ||
| No | 344 (17.7) | 156 (18.7) | ||
| Yes | 1 603 (82.3) | 679 (81.3) | ||
| Gender/n(%) | 1.384 | 0.239 | ||
| Female | 1 026 (52.7) | 461 (55.2) | ||
| Male | 921 (47.3) | 374 (44.8) | ||
| Diabetes mellitus/n(%) | 1 614 (82.9) | 675 (80.8) | 1.560 | 0.212 |
| No | ||||
| Yes | 333 (17.1) | 160 (19.2) | ||
| Pedunculated status/n(%) | 0.761 | 0.383 | ||
| No | 1 370 (70.4) | 573 (68.6) | ||
| Yes | 577 (29.6) | 262 (31.4) | ||
| Antithrombotic drug use history/n(%) | 0.010 | 0.982 | ||
| No | 1 847 (94.9) | 793 (95.0) | ||
| Yes | 100 (5.1) | 42 (5.0) | ||
| Polyp location/n(%) | 5.139 | 0.077 | ||
| Left colon | 769 (39.5) | 334 (40.0) | ||
| Right colon | 571 (29.3) | 273 (32.7) | ||
| Bilateral colon | 607 (31.2) | 228 (27.3) | ||
| Number of polyps/n(%) | 0.153 | 0.696 | ||
| <3 | 1 551 (79.7) | 659 (78.9) | ||
| ≥3 | 396 (20.3) | 176 (21.1) |
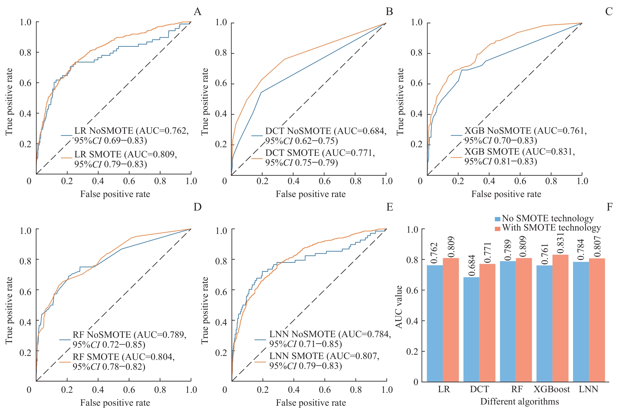
| Model | Sensitivity/% | Specificity/% | Accuracy/% | PPV/% | NPV/% | F1 score/% | AUC (95%CI) |
|---|---|---|---|---|---|---|---|
| LR | 71.80 | 76.14 | 73.97 | 75.03 | 73.00 | 73.38 | 0.809 (0.791‒0.833) |
| DCT | 62.53 | 80.57 | 71.56 | 76.27 | 68.29 | 68.72 | 0.771 (0.752‒0.790) |
| RF | 66.06 | 81.10 | 73.58 | 77.73 | 70.52 | 71.42 | 0.804 (0.781‒0.821) |
| XGBoost | 77.28① | 82.27 | 79.78① | 81.32① | 78.39① | 79.25① | 0.831 (0.814‒0.852) |
| LNN | 63.32 | 82.53① | 72.93 | 78.35 | 69.26 | 70.04 | 0.807 (0.790‒0.833) |
Tab 2 Comparison of overall performance metrics among the five models
| Model | Sensitivity/% | Specificity/% | Accuracy/% | PPV/% | NPV/% | F1 score/% | AUC (95%CI) |
|---|---|---|---|---|---|---|---|
| LR | 71.80 | 76.14 | 73.97 | 75.03 | 73.00 | 73.38 | 0.809 (0.791‒0.833) |
| DCT | 62.53 | 80.57 | 71.56 | 76.27 | 68.29 | 68.72 | 0.771 (0.752‒0.790) |
| RF | 66.06 | 81.10 | 73.58 | 77.73 | 70.52 | 71.42 | 0.804 (0.781‒0.821) |
| XGBoost | 77.28① | 82.27 | 79.78① | 81.32① | 78.39① | 79.25① | 0.831 (0.814‒0.852) |
| LNN | 63.32 | 82.53① | 72.93 | 78.35 | 69.26 | 70.04 | 0.807 (0.790‒0.833) |
| [1] | Bray F, Laversanne M, Sung H, et al. Global cancer statistics 2022: GLOBOCAN estimates of incidence and mortality worldwide for 36 cancers in 185 countries[J]. CA Cancer J Clin, 2024, 74(3): 229-263. |
| [2] | Lopes S R, Martins C, Santos I C, et al. Colorectal cancer screening: a review of current knowledge and progress in research[J]. World J Gastrointest Oncol, 2024, 16(4): 1119-1133. |
| [3] | Brenner H, Chang-Claude J, Seiler C M, et al. Protection from colorectal cancer after colonoscopy: a population-based, case-control study[J]. Ann Intern Med, 2011, 154(1): 22-30. |
| [4] | Shaukat A, Levin T R. Current and future colorectal cancer screening strategies[J]. Nat Rev Gastroenterol Hepatol, 2022, 19(8): 521-531. |
| [5] | Gupta S, Lieberman D, Anderson J C, et al. Recommendations for follow-up after colonoscopy and polypectomy: a consensus update by the US multi-society task force on colorectal cancer[J]. Gastrointest Endosc, 2020, 91(3): 463-485.e5. |
| [6] | Jaruvongvanich V, Prasitlumkum N, Assavapongpaiboon B, et al. Risk factors for delayed colonic post-polypectomy bleeding: a systematic review and meta-analysis[J]. Int J Colorectal Dis, 2017, 32(10): 1399-1406. |
| [7] | 王禹毅, 卜志军, 李元晞, 等. 临床预测模型变量筛选方法及比较[J]. 现代中医临床, 2024, 31(2): 6-12. |
| Wang Y Y, Bu Z J, Li Y X, et al. Variable selection methods and comparison in clinical prediction models[J]. Modern Clinical Chinese Medicine, 2024, 31(2): 6-12. | |
| [8] | Cao J, Long S K, Liu H, et al. Constructing a prediction model for acute pancreatitis severity based on liquid neural network[J]. Sci Rep, 2025, 15(1): 16655. |
| [9] | Zhang R F, Yin M Y, Jiang A Q, et al. Application value of the automated machine learning model based on modified computed tomography severity index combined with serological indicators in the early prediction of severe acute pancreatitis[J]. J Clin Gastroenterol, 2024, 58(7): 692-701. |
| [10] | Liu L J, Zhang R F, Shi Y, et al. Automated machine learning for predicting liver metastasis in patients with gastrointestinal stromal tumor: a SEER-based analysis[J]. Sci Rep, 2024, 14(1): 12415. |
| [11] | Russell B C, Torralba A, Murphy K P, et al. LabelMe: a database and web-based tool for image annotation[J]. Int J Comput Vis, 2008, 77(1): 157-173. |
| [12] | Shin H C, Roth H R, Gao M C, et al. Deep convolutional neural networks for computer-aided detection: CNN architectures, dataset characteristics and transfer learning[J]. IEEE Trans Med Imaging, 2016, 35(5): 1285-1298. |
| [13] | Handelman G S, Kok H K, Chandra R V, et al. Peering into the black box of artificial intelligence: evaluation metrics of machine learning methods[J]. AJR Am J Roentgenol, 2019, 212(1): 38-43. |
| [14] | Nohara Y, Matsumoto K, Soejima H, et al. Explanation of machine learning models using shapley additive explanation and application for real data in hospital[J]. Comput Meth Programs Biomed, 2022, 214: 106584. |
| [15] | Fahmy A S, Csecs I, Arafati A, et al. An explainable machine learning approach reveals prognostic significance of right ventricular dysfunction in nonischemic cardiomyopathy[J]. JACC Cardiovasc Imaging, 2022, 15(5): 766-779. |
| [16] | Bendall O, James J, Pawlak K M, et al. Delayed bleeding after endoscopic resection of colorectal polyps: identifying high-risk patients[J]. Clin Exp Gastroenterol, 2021, 14: 477-492. |
| [17] | Zhang X Z, Jiang X X, Shi L. Risk factors for delayed colorectal postpolypectomy bleeding: a meta-analysis[J]. BMC Gastroenterol, 2024, 24(1): 162. |
| [18] | Albouys J, Montori Pina S, Boukechiche S, et al. Risk of delayed bleeding after colorectal endoscopic submucosal dissection: the Limoges Bleeding Score[J]. Endoscopy, 2024, 56(2): 110-118. |
| [19] | Lu Y, Zhou X Y, Chen H, et al. Establishment of a model for predicting delayed post-polypectomy bleeding: a real-world retrospective study[J]. Front Med, 2022, 9: 1035646. |
| [20] | 王敏, 韦雪连, 李常伟, 等. 内镜下结直肠腺瘤性息肉的特征及经切除术后迟发出血的危险因素分析[J]. 胃肠病学和肝病学杂志, 2024, 33(6): 714-718. |
| Wang M, Wei X L, Li C W, et al. Characteristics of colorectal adenomatous polyps under endoscopy and analysis of risk factors for delayed bleeding after resection[J]. Chinese Journal of Gastroenterology and Hepatology, 2024, 33(6): 714-718. | |
| [21] | 陈健, 王珍妮, 夏开建, 等. 基于深度学习的结直肠息肉内镜图像分割和分类方法比较[J]. 上海交通大学学报(医学版), 2024, 44(6): 762-772. |
| Chen J, Wang Z N, Xia K J, et al. Comparative study on methods for colon polyp endoscopic image segmentation and classification based on deep learning[J]. Journal of Shanghai Jiao Tong University (Medical Science), 2024, 44(6): 762-772. |
| [1] | YIN Ziming, WANG Rongqin, YANG Ziyi, LIU Yingbin, CHEN Tao, SHU Yijun, GONG Wei. Graph neural network-based auxiliary diagnostic model for gallbladder cancer on CT imaging [J]. Journal of Shanghai Jiao Tong University (Medical Science), 2025, 45(9): 1221-1231. |
| [2] | HUANG Xin, LIU Jiahui, YE Jingwen, QIAN Wenli, XU Wanxing, WANG Lin. Development and clinical application of a machine learning-driven model for metabolite-based diagnosis of small cell lung cancer [J]. Journal of Shanghai Jiao Tong University (Medical Science), 2025, 45(8): 1009-1016. |
| [3] | RUAN Qingqing, SU Shuzhi, LI Yanting, REN Yuan, DAI Yong, QIAO Zengyong. Intraoperative complications in percutaneous coronary intervention for acute myocardial infarction: development of a risk prediction model [J]. Journal of Shanghai Jiao Tong University (Medical Science), 2025, 45(12): 1589-1597. |
| [4] | YU Zhiyuan, DONG Haiping, GAO Nan, MA Ke. Identification and mechanistic analysis of core genes associated with morphine tolerance in dorsal root ganglion: an integrative transcriptomics approach using WGCNA and machine learning algorithms [J]. Journal of Shanghai Jiao Tong University (Medical Science), 2025, 45(10): 1308-1319. |
| [5] | WU Qizhen, LIU Qiming, CHAI Yezi, TAO Zhengyu, WANG Yinan, GUO Xinning, JIANG Meng, PU Jun. Evaluation of machine learning prediction of altered inflammatory metabolic state after neoadjuvant therapy for breast cancer [J]. Journal of Shanghai Jiao Tong University (Medical Science), 2024, 44(9): 1169-1181. |
| [6] | XU Wanxing, WANG Lin, GUO Qiaomei, WANG Xueqing, LOU Jiatao. Clinical validation and application value exploration of multi-modal pulmonary nodule diagnosis model [J]. Journal of Shanghai Jiao Tong University (Medical Science), 2024, 44(8): 1030-1036. |
| [7] | CHEN Jian, WANG Zhenni, XIA Kaijian, WANG Ganhong, LIU Luojie, XU Xiaodan. Comparative study on methods for colon polyp endoscopic image segmentation and classification based on deep learning [J]. Journal of Shanghai Jiao Tong University (Medical Science), 2024, 44(6): 762-772. |
| [8] | LIU Yang, WU Mengyi, HU Yao, QI Kun, WANG Yubin, ZHAO Yue, SONG Jinlin. Preliminary application of a cervical vertebra segmentation method based on Transformer and diffusion model for lateral cephalometric radiographs in orthodontic clinical practice [J]. Journal of Shanghai Jiao Tong University (Medical Science), 2024, 44(12): 1579-1586. |
| [9] | MA Ben, ZHAO Cheng, SHU Yijun, DONG Ping. Application progress of CT radiomics in gastrointestinal stromal tumor [J]. Journal of Shanghai Jiao Tong University (Medical Science), 2023, 43(7): 923-930. |
| [10] | ZHAO Keke, JIANG Beibei, ZHANG Lu, WANG Lingyun, ZHANG Yaping, XIE Xueqian. Feasibility of ultra-low-dose noncontrast CT based on deep learning image reconstruction to evaluate chest lesions [J]. Journal of Shanghai Jiao Tong University (Medical Science), 2022, 42(8): 1062-1069. |
| [11] | LIN Jiaxi, WANG Shengjia, ZHAO Xin, GAO Xin, YIN Minyue, ZHU Jinzhou. Development of endoscopic image classification models of Barrett's esophagus based on deep convolutional neural networks [J]. Journal of Shanghai Jiao Tong University (Medical Science), 2022, 42(5): 653-659. |
| [12] | CHEN Liqi, XUE Zhuowei, WU Qingkai. Review of MRI-based three-dimensional digital model reconstruction of female pelvic floor organs [J]. Journal of Shanghai Jiao Tong University (Medical Science), 2022, 42(3): 381-386. |
| [13] | Xin LI, Qing FAN. Application progress of machine learning in the study of facial features of patients with depression [J]. JOURNAL OF SHANGHAI JIAOTONG UNIVERSITY (MEDICAL SCIENCE), 2022, 42(1): 124-129. |
| [14] | LU Yan-qiao, SHEN Lan, HE Ben. Application of artificial intelligence in assisted diagnosis and treatment of cardiovascular disease [J]. , 2020, 40(2): 259-. |
| [15] | JIA Zhi-ying1, 2, DONG Min-ye1, 2, SHI Zhen-su2, 3, JIN Chun-lin4, LI Guo-hong1, 2. Study of a screening system for mild cognitive impairment based on machine learning model [J]. , 2019, 39(8): 908-. |
| Viewed | ||||||
|
Full text |
|
|||||
|
Abstract |
|
|||||