阻塞性睡眠呼吸暂停与脑成像衍生表型的双向孟德尔随机化研究
Bidirectional Mendelian randomization study of the relationship between brain imaging-derived phenotypes and obstructive sleep apnea
通讯作者: 卢 娜,主管技师,学士;电子信箱:863465594@qq.com。
编委: 崔黎明
收稿日期: 2024-11-18 接受日期: 2025-01-09 网络出版日期: 2025-04-28
| 基金资助: |
|
Corresponding authors: LU Na, E-mail:863465594@qq.com.
Received: 2024-11-18 Accepted: 2025-01-09 Online: 2025-04-28
作者简介 About authors
张慧华(1992—),女,技师,学士;电子信箱:
目的·通过两样本孟德尔随机化(Mendelian randomization,MR)研究阐述阻塞性睡眠呼吸暂停(obstructive sleep apnea,OSA)与脑成像衍生表型(imaging-derived phenotype,IDP)之间的因果关系。方法·OSA的相关遗传数据来自芬兰基因生物银行R11(FinnGen Biobank)中的全基因组关联研究(genome⁃wide association study,GWAS),其中,病例组50 200例,对照组401 484例;从中筛选出27个单核苷酸多态性(single⁃nucleotide polymorphism,SNP)作为OSA的工具变量。3 935种IDP的GWAS来自英国生物样本库(UK Biobank)39 691名欧洲血统个体的多模态神经影像数据。采用逆方差加权(inverse variance weighted,IVW)为主的多种MR方法进行分析,并进行异质性、多效性和敏感性检验。结果·MR分析显示8种IDP与OSA的发生显著相关,例如右侧半球额中回尾部体积显著增加OSA风险,体积每增加1个标准差对应于OSA风险增高11% (IVW方法的OR=1.11,95%CI 1.06~1.17,P<0.001)。而OSA可能与1种IDP呈负相关(IVW β=-0.10,95%CI -0.19~-0.01,P=0.025)。这种IDP属于静息态功能连接特征,是双侧额极与右侧额顶皮层的功能连接强度。异质性检验提示工具变量之间未发现显著异质性,多效性检验未检测到多效性,敏感性分析提示结果稳定。结论·8种IDP可能与OSA的发生显著相关,而其中1种IDP与OSA的发生呈负相关,为非侵入式神经调控治疗OSA提供了潜在靶点。
关键词:
Objective ·To elucidate the causal relationship between obstructive sleep apnea (OSA) and imaging-derived phenotypes (IDPs) through two-sample Mendelian randomization (MR) studies. Methods ·The genetic data related to OSA were obtained from the genome-wide association study (GWAS) (ncase group=50 200, ncontrol group=401 484) in the FinnGen Biobank R11. Twenty-seven single nucleotide polymorphisms (SNPs) were screened out as instrumental variables of OSA. The GWAS of 3 935 IDPs was based on multimodal neuroimaging data from 39 691 individuals of European ancestry in the UK Biobank. Multiple MR methods, primarily utilizing inverse variance weighted (IVW) analysis, were applied, along with assessments for heterogeneity, pleiotropy, and sensitivity. Results ·MR analysis indicated that 8 IDPs were associated with OSA. For example, the genetically determined volume of caudal middle frontal gyrus in the right hemisphere was associated with an increased risk of OSA. A one‒standard-deviation increase in volume corresponded to an 11% higher risk of OSA (IVW OR=1.11, 95%CI 1.06‒1.17, P<0.001). Genetically determined reduced risk of OSA was associated with a resting-state functional connectivity characteristic (IVW β=-0.10, 95%CI -0.19‒-0.01, P=0.025), representing the functional connectivity strength between the bilateral frontal poles and the right frontal-parietal cortex. The heterogeneity test did not find significant heterogeneity among the instrumental variables. The pleiotropy test did not detect any pleiotropy. The sensitivity analysis indicated stable results. Conclusion ·Eight IDPs may have a causal relationship with the occurrence of OSA, among which one IDP shows a bidirectional causal relationship, providing potential targets for non-invasive neuromodulation interventions in OSA.
Keywords:
本文引用格式
张慧华, 干静, 侯媌媌, 卢娜.
ZHANG Huihua, GAN Jing, HOU Miaomiao, LU Na.
阻塞性睡眠呼吸暂停(obstructive sleep apnea,OSA)是一种与睡眠相关的呼吸障碍,特点是在睡眠期间反复出现完全或不完全气流停止[1]。OSA是最常见的慢性疾病之一,影响全球近10亿人口,已成为重大公共健康问题[2]。越来越多的证据表明,脑成像衍生表型(imaging-derived phenotype,IDP)与OSA相关。例如,全脑灰质体积减少被认为与OSA显著相关[3]。此外,功能磁共振成像提示OSA患者多个脑区存在功能异常[4],如背外侧前额叶的低水平激活。背外侧前额叶属于背侧注意网络的一部分。OSA患者发生与驾驶相关的交通事故的可能性是正常人的2~13倍[5],其原因可能与背侧注意网络损伤有关;该损伤导致患者在驾驶过程中无法有效集中注意力、做出快速决策或有效应对突发情况,从而增加交通事故的风险。然而,由于传统观察性研究的方法学局限性,这些IDP与OSA的关联容易受到混杂和反向因果偏倚的影响。近期,随着高通量基因分型和神经成像技术的进展,全基因组关联研究(genome-wide association study,GWAS)有望全面识别IDP的遗传决定因素。这些发展为通过孟德尔随机化(Mendelian randomization,MR)设计研究IDP与OSA之间潜在的因果效应提供了机会。
MR是一种新兴的遗传流行病学研究设计,利用遗传变异作为工具变量来调查暴露是否与医学相关疾病风险存在因果关系。由于固有的遗传变异不受环境变量的影响,MR设计可以避免常见于传统观察性研究的潜在混杂因素。本研究使用两样本MR系统调查3 935个IDP与OSA之间的双向因果关系,以期为OSA在脑影像学层面的早期识别、预防和病因诊断提供新的见解。近年来,非侵入性神经调控技术(如经颅磁刺激、经颅直流电刺激和经颅超声刺激)已成为神经科学和精神疾病治疗领域的重要研究方向。这些技术通过调节脑部活动和神经环路,提供了一种安全无创的潜在治疗手段。本研究也希冀为这些技术的潜在治疗靶点提供重要线索。
1 资料与方法
1.1 研究设计
图1
图1
IDP与OSA双向MR分析流程
Note: 1—Relevance assumption (the selected instrumental variables must be associated with the exposure); 2—Independence assumption (the selected instrumental variables were not associated with potential confounders); 3—Exclusion restriction assumption (the instrumental variables affected the outcome only through their effect on the exposure). IV—instrumental variable.
Fig 1
Workflow of bidirectional MR analysis between IDPs and OSA
1.2 数据集和工具变量选择
本研究中使用的IDP和OSA汇总数据来源于公开可用的欧洲人群GWAS。3 935种IDP的GWAS来自英国生物样本库(UK Biobank)2020年发布的多模态神经影像(T1加权相、静息态、任务态功能磁共振、T2_FLAIR相、扩散加权成像和磁敏感加权成像)数据;这些数据来自39 691例年龄在40~69岁、男女人数大致相等的欧洲血统个体。神经影像学测量和处理方法在UK Biobank的在线参考文献中有详细描述[7]。研究人员应用自动化图像处理流程,产生了3 935种IDP。这些IDP是脑结构和功能的不同特征参数。OSA数据集来源于芬兰基因生物银行(FinnGen Biobank)2024年6月发布的R11版本,共包含50 200例患者与401 484例健康对照。该协议和数据收集已获得原始GWAS伦理委员会的批准,并在数据收集前获得每位参与者的书面知情同意。
1.3 统计学方法
应用R语言v4.4.1软件(R Foundation for Statistical Computing,奥地利)搭载“Two Sample MR”包进行分析。采用逆方差加权(inverse variance weighted,IVW)[10]作为主要分析方法估计IDP与OSA之间的关联,MR-Egger、加权中位数、简单模式、加权模式[11]作为补充的MR方法进行分析。结果呈现形式为比值比(odds ratio,OR)及相应的95%置信区间(confidence interval,CI)。为控制IDP与OSA多次检验中假阳性的风险,将显著性阈值调整为0.001。采用Cochrane's Q检验进行异质性检验。通过MR Egger截距统计量对水平多效应性进行检验。用留一法检验MR分析方法的稳健性,并观察漏斗图的对称性检查可能存在的水平多效性。
2 结果
2.1 IDP对OSA风险的影响
2.1.1 8种与OSA的风险显著相关的IDP
图2
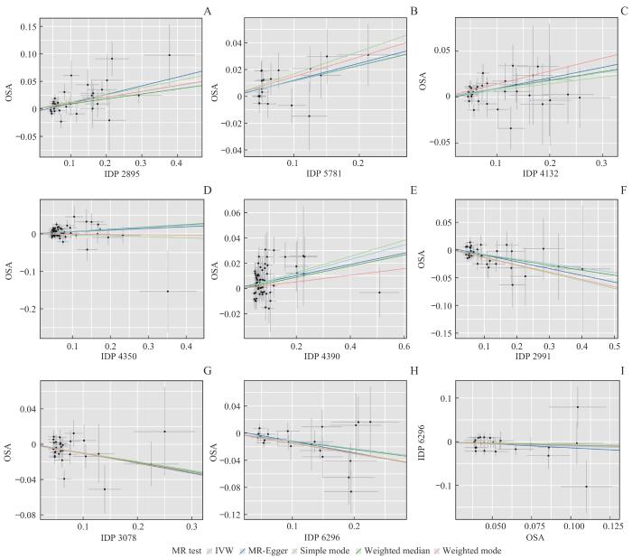
图3
图3
IDP与OSA的遗传关联效应散点图
Note: A. Scatterplot of SNP effects on IDP 2895 and OSA. B. Scatterplot of SNP effects on IDP 5781 and OSA. C. Scatterplot of SNP effects on IDP 4132 and OSA. D. Scatterplot of SNP effects on IDP 4350 and OSA. E. Scatterplot of SNP effects on IDP IDP 4390 and OSA. F. Scatterplot of SNP effects on IDP 2991 and OSA. G. Scatterplot of SNP effects on IDP 3078 and OSA. H. Scatterplot of SNP effects on IDP 6296 and OSA. I. Scatterplot of SNP effects on OSA and IDP 6296.
Fig 3
Scatterplots of genetic association effects between IDPs and OSA
图4
6个结构相分别是:IDP 2895,右侧额中回尾部体积(aparc-DKTatlas rh volume caudalmiddlefrontal);IDP 2991,左侧中央后回体积(aparc-a2009s lh volume S-postcentral);IDP 3078,左侧内嗅皮层面积(aparc-Desikan lh area entorhinal);IDP 4390,右侧下纵束(连接枕叶和颞前叶的白质纤维束)细胞内体积分数(IDP dMRI ProbtrackX ICVF ilf r);IDP 4350,左侧前放射冠(大脑皮层尤其是额叶至脑干的联系纤维)细胞内体积分数(IDP dMRI TBSS ICVF Anterior corona radiata L);IDP 4132,左侧内侧丘系(延髓薄束核和楔束核发出的上行纤维)L2值,其中,L2值是水分子在垂直于大脑白质纤维方向上的扩散指标(IDP dMRI TBSS L2 Medial lemniscus L)。
获取静息态功能磁共振的功能连接特征:首先对4 100例参与者的功能影像数据进行独立成分分析,将数据降维后获得100个独立成分(即节点),之后估算节点之间的功能连接性。具体脑影像处理方法及影像查看步骤参见UK Biobank网址(
2.1.2 增加OSA风险的5种IDP
对OSA有危害性的IDP有5种,其中IDP 2895的统计效应最明显,体积每增加1个标准差对应于OSA风险增高11%(IVW方法的OR=1.11,95%CI 1.06~1.17,P<0.001)。另外4种MR分析方法结果总效应值与IVW方法一致,提示了结果的稳健性(图5)。IDP 4350每增加1个标准差对应于OSA风险增高6%(IVW方法的OR=1.06,95%CI 1.02~1.10,P<0.001)。IDP 4390每增加1个标准差对应于OSA风险增高6%(IVW方法的OR=1.06,95%CI 1.03~1.09,P<0.001)。IDP 4132每增加1个标准差对应于OSA风险增高9%(IVW方法的OR=1.09,95%CI 1.04~1.15,P<0.001)。IDP 5781每增加1个标准差对应于OSA风险增加12%(IVW方法的OR=1.12,95%CI 1.05~1.20)。
图5
图5
不同MR分析方法检验IDP对OSA的关联效应
Fig 5
Causal associations between IDPs and OSA in the forward and reverse MR with different MR analysis methods
2.1.3 降低OSA风险的3种IDP
对OSA具有保护性的IDP有3种。其中,IDP 3078、IDP 2991与OSA风险呈负相关,该区域每增加1个标准差对应于OSA风险分别下降9%和8%(IDP 3078:IVW方法的OR=0.91,95%CI 0.86~0.96,P<0.001。IDP 2991:IVW方法的OR=0.92,95%CI 0.88~0.97,P<0.001)。而IDP 6296每增加1个标准差对应于OSA风险下降11%(IVW方法的OR=0.89,95%CI 0.84~0.95,P<0.001)。
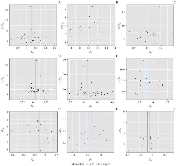
敏感性分析显示,当逐个剔除任何单个SNP后剩余SNP合并的因果效应仍稳定。多效性检验未检测到水平多效性(均P>0.05)。漏斗图中,采用IVW和MR-Egger法分别计算,两侧点的分布大致对称,未检出潜在的偏倚。结果见图6。
图6
图6
IDP与OSA关联的SNP效应漏斗图
Note: A. Funnel plot of the effect of IDP 2895 on OSA. B. Funnel plot of the effect of IDP 5781 on OSA. C. Funnel plot of the effect of IDP 4132 on OSA. D. Funnel plot of the effect of IDP 4350 on OSA. E. Funnel plot of the effect of IDP 4390 on OSA. F. Funnel plot of the effect of IDP 2991 on OSA. G. Funnel plot of the effect of IDP 3078 on OSA. H. Funnel plot of the effect of IDP 6296 on OSA. I. Funnel plot of the effect of OSA on IDP 6296. IV—instrumental variable.
Fig 6
Funnel plot of SNP effects on IDP-OSA associations
2.2 OSA对IDP的影响
图7
3 讨论
睡眠对大脑功能的正常发展和维持至关重要。OSA是一种常见的睡眠障碍,表现为睡眠片段化和慢性间歇性缺氧。近年来,越来越多的观察性研究[12-13]表明,OSA与大脑结构和功能的变化之间存在关联。尽管现有研究支持OSA可能导致大脑功能和结构的退化,但这一因果关系仍需谨慎解读。值得注意的是,OSA与大脑功能障碍或结构异常之间可能存在双向关系,即某些大脑功能或结构的变化可能会反过来增加个体患OSA的风险。例如,有研究[14]表明,边缘系统的功能异常可能在一定程度上导致呼吸控制失调,从而增加OSA的发生风险。因此,未来的研究应进一步探索OSA与大脑功能和结构变化之间的复杂交互关系,而非仅仅关注单一的因果链条。目前,关于特定大脑形态和功能连接改变与OSA之间因果关系的研究仍较为稀缺。我们采用两样本MR的方法探究IDP与OSA的因果关系,正向MR发现8种IDP与OSA之间存在显著相关,反向MR发现OSA与其中有1种IDP呈负相关。
在正向MR分析中,我们观察到8种IDP可能影响OSA风险。这些IDP包括6个结构相特征和2个静息态功能相特征。这6个结构相特征中含有3个白质纤维束特征、2个脑区体积和1个脑区皮层面积。例如,根据Desikan-Killiany-Tourville脑图谱(
在反向MR分析中,我们发现OSA的风险与一种静息态功能磁共振的功能连接特征rfMRI connectivity (ICA100 edge 1443)(IDP 6296)呈负相关。IDP 6296所涉及的2个节点为双侧额极和右侧额顶皮层,分别隶属于默认模式网络(default mode network,DMN)和中央执行网络(central executive network,CEN)。DMN主要由后扣带皮层、内侧前额叶皮层、海马旁回和楔前叶等区域构成[16]。在大脑处于静息状态时,DMN通常表现出高活跃度,反映个体的内心思考和情感状态。DMN可以进一步划分为前部DMN和后部DMN。目前的研究[17-19]发现OSA表现为前部DMN模块功能连接下降。CEN主要包括前额叶皮层和顶叶皮层的多个区域,主要参与高阶认知功能,如决策制定、计划、工作记忆和注意力控制。这2种网络高度整合,在进行特定任务时和静息状态下均表现出负相关:当CEN被激活时,DMN会被抑制,反之亦然[20]。重复经颅磁刺激针对CEN的靶点可引起CEN对DMN的负向调节,也证实了这2个网络之间的负相关性[21]。这2个大脑网络之间的负相关性对于多种认知功能至关重要,可能反映大脑在内省和专注外部任务这2种不同信号处理模式之间的切换[22]。在OSA患者中,CHEN等[23]发现CEN和DMN的功能连接较正常组下降,基于图论的分析发现这2个网络内多个区域节点中心度异常,并与氧减指数、认知量表得分呈显著相关性。而IDP 6296与OSA的双向因果关系表明,该IDP不仅可能作为OSA的预测生物标志物,其关联的脑区也为非侵入性神经调控技术(如经颅磁刺激)提供潜在干预靶点。
本研究的创新之处在于对OSA相关的IDP进行了全面的评估。首先,所选择的OSA与IDP数据集均是较新、较大的数据集,为获得较强的统计效能提供了基础。其次,采取双向MR的方法模拟随机对照研究,并验证反向因果效应。最后,通过对IDP的GWAS数据的分析,提供了与OSA相关的IDP的详细信息,为OSA的早期诊治、随访及脑功能保护提供线索。然而,本研究也存在一定局限性。首先,MR模型无法排除暴露与结局之间呈现非线性关联的可能性。其次,本次研究的对象为欧洲人群,所得结论在我国人群中可否推广需慎重。另外,MR分析去除混杂因素依靠现有数据库,这可能限制了对混杂因素的完全控制。最后,MR无法进一步探究IDP作用于OSA的病理生理机制,具体作用机制有待进一步探究。
综上所述,本研究通过MR方法探究了IDP与OSA之间的因果效应,发现8种IDP与OSA显著相关,其中OSA与1种静息态功能连接特征双向负相关,值得进一步关注。本研究结果为深入探究IDP在OSA预测和干预中的潜在作用提供了新的参考。
作者贡献声明
卢娜负责选题确定和研究设计,张慧华负责数据收集、分析和论文撰写,干静参与论文修改,侯媌媌负责制图。所有作者均阅读并同意了最终稿件的提交。
AUTHOR's CONTRIBUTIONS
LU Na was responsible for determining research topics and designing the study. ZHANG Huihua collected and analyzed the data and wrote the manuscript. GAN Jing revised the manuscript. HOU Miaomiao created the figures. All authors have read the final version of the manuscript and consented to its submission.
利益冲突声明
所有作者声明不存在利益冲突。
COMPETING INTERESTS
All authors declare no relevant conflict of interests.
参考文献
/
| 〈 |
|
〉 |

