Journal of Shanghai Jiao Tong University (Medical Science) ›› 2026, Vol. 46 ›› Issue (4): 486-495.doi: 10.3969/j.issn.1674-8115.2026.04.008

• Clinical research • Previous Articles    

Association between hyperuricemia and metabolic syndrome in adults

Lu Bohan1,2, Hu Cuirong2, Wang Jinkun2, Lu Jifang2, Jin Haijiao1, Wang Ling1, Jiang Na1(), Mou Shan1()   

  1. 1.Department of Nephrology, Renji Hospital, Shanghai Jiao Tong University School of Medicine, Shanghai 200127, China
    2.Department of Nephrology, Ningbo Hangzhou Bay Hospital, Zhejiang Province, Ningbo 315336, China
  • Received:2025-09-28 Accepted:2025-11-11 Online:2026-04-28 Published:2026-04-28
  • Contact: Jiang Na, Mou Shan E-mail:jiangjiang198311@163.com;shan_mou@126.com
  • Supported by:
    Key Disciplines Project of Shanghai Three-year Action Plan for Strengthening Public Health System Construction (2023?2025)(GWVI-11.1-19);National Natural Science Foundation of China(81970574)

Abstract:

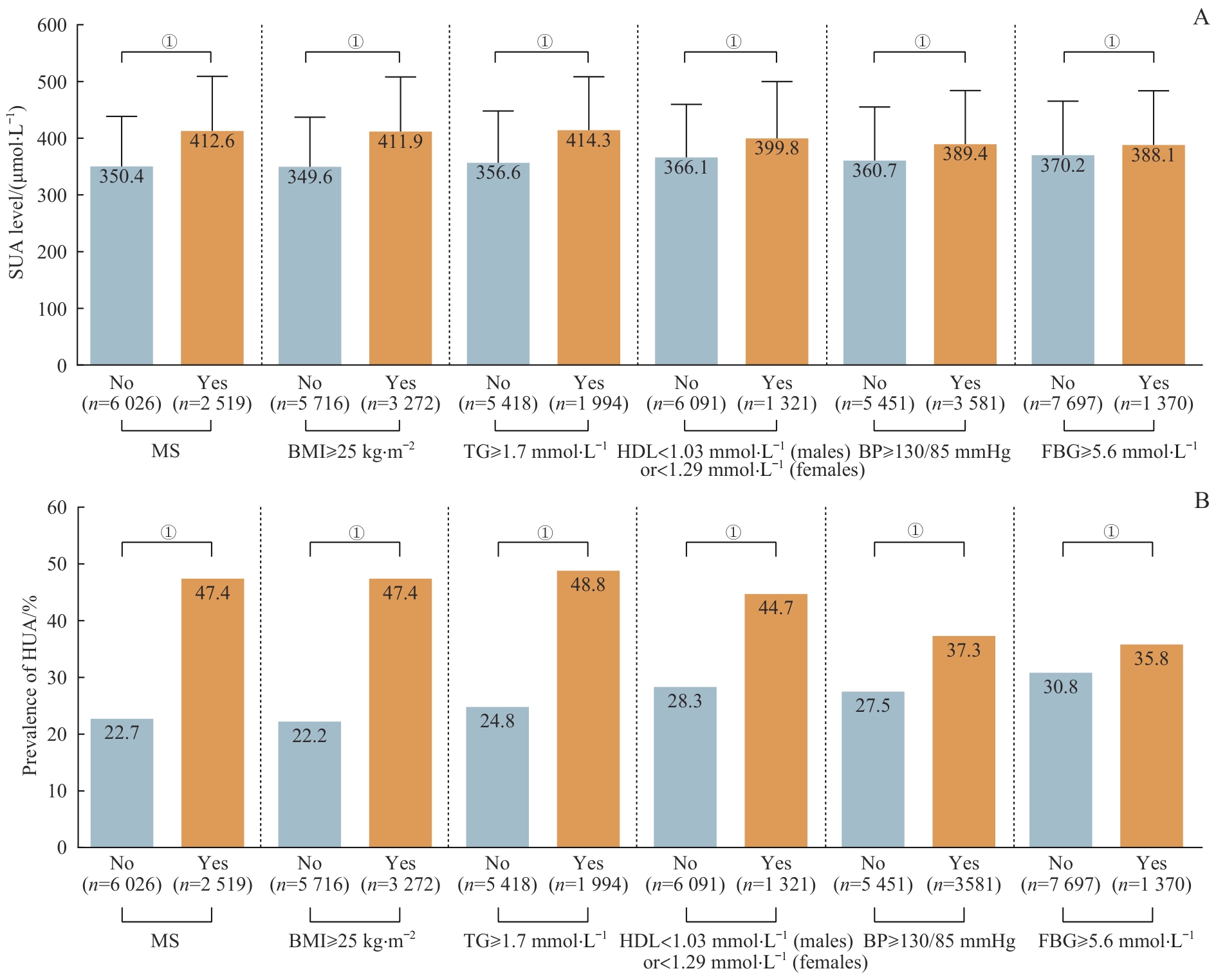
Objective ·To analyze the prevalence of hyperuricemia (HUA) and its correlation with metabolic syndrome (MS) and MS components among adults in the Ningbo Hangzhou Bay area of Zhejiang Province. Methods ·A cross-sectional study was conducted among adults who underwent health examinations at Ningbo Hangzhou Bay Hospital from January to December 2022. Demographic data and clinical examination results were collected. The prevalence of HUA was calculated based on serum uric acid (SUA) levels. The estimated glomerular filtration rate (eGFR) was calculated using the Chronic Kidney Disease Epidemiology Collaboration equation. MS was defined according to body mass index (BMI), blood pressure, fasting blood glucose, triglycerides (TG), and high-density lipoprotein cholesterol (HDL-C). The association between HUA and MS, as well as its individual components, was analyzed. Results ·A total of 9 196 adults were included, with a mean age of (34.3±11.8) years; 75.2% were males. The mean SUA level was (371.8±95.6) μmol/L, and the overall prevalence of HUA was 31.3%. Compared with the non-HUA group, the HUA group demonstrated a higher proportion of males, younger age, lower eGFR, and a higher prevalence of MS (all P<0.001). Regarding MS components, the HUA group showed significantly higher BMI, blood pressure, and TG levels, along with lower HDL-C levels (all P<0.001). Patients with MS had significantly higher SUA levels and a higher prevalence of HUA compared to those without MS (both P<0.001). Furthermore, both SUA levels and the prevalence of HUA increased progressively with the increasing number of MS components present. Multivariable Logistic regression analysis identified male sex (OR=3.74, 95%CI 3.12‒4.48), younger age (per 5-year decrease, OR=1.22, 95%CI 1.19‒1.26), eGFR<90 mL/(min·1.73 m2) (OR=2.45, 95%CI 2.11‒2.84), BMI≥25 kg/m2 (OR=2.31, 95%CI 2.06‒2.60), elevated blood pressure (OR=1.18, 95%CI 1.04‒1.32), TG≥1.7 mmol/L (OR=2.08, 95%CI 1.81‒2.37), and low HDL-C (OR=1.33, 95%CI 1.15‒1.55) as independent risk factors for HUA. Conclusion ·The prevalence of HUA is high among the adult population in the Ningbo Hangzhou Bay area. Male sex, younger age, decreased renal function, and the presence of MS components are risk factors for HUA in this population, with the prevalence increasing as the number of MS components accumulates.

Key words: hyperuricemia (HUA), metabolic syndrome (MS), obesity, hypertension, dyslipidemia

CLC Number: