上海交通大学学报(医学版), 2025, 45(5): 605-613 doi: 10.3969/j.issn.1674-8115.2025.05.009

论著 · 循证医学

两样本孟德尔随机化分析血浆磷脂酰乙醇胺水平与结直肠腺癌发病风险的关系

徐苓, 皇甫昱婵, 沈立松, 马妍慧,

上海交通大学医学院附属新华医院检验科,上海 200092

Causal association between plasma phosphatidylethanolamine and risk of colorectal adenocarcinoma: a two-sample Mendelian randomization study

XU Ling, HUANGFU Yuchan, SHEN Lisong, MA Yanhui,

Department of Laboratory Medicine, Xinhua Hospital, Shanghai Jiao Tong University School of Medicine, Shanghai 200092, China

通讯作者: 马妍慧,副主任技师,博士;电子信箱:mayanhui@xinhuamed.com.cn

编委: 包玲

收稿日期: 2024-12-26   接受日期: 2025-03-13   网络出版日期: 2025-05-28

基金资助: 上海市科学技术委员会项目.  23S31905800

Corresponding authors: MA Yanhui, E-mail:mayanhui@xinhuamed.com.cn.

Received: 2024-12-26   Accepted: 2025-03-13   Online: 2025-05-28

作者简介 About authors

徐 苓(1985—),女,主管技师,硕士;电子信箱:immortality0018@163.com。 。

摘要

目的·采用两样本孟德尔随机化(two-sample Mendelian randomization,TSMR)方法,以遗传变异作为工具变量,评估血浆磷脂酰乙醇胺(phosphatidylethanolamine,PE)水平与结直肠腺癌发病风险之间的因果关系。方法·PE与结直肠癌相关的单核苷酸多态性(single-nucleotide polymorphism,SNP)数据分别来自布里斯托大学MRC综合流行病学小组(The Medical Research Council Integrative Epidemiology Unit,MRC-IEU)和芬兰生物银行。对基于全基因组关联研究(genome-wide association study,GWAS)的所有汇总数据进行二次数据分析,选择与PE密切关联的遗传位点作为工具变量,采用4种孟德尔随机化(Mendelian randomization,MR)方法,包括逆方差加权法(inverse-variance weighted,IVW)、孟德尔随机化Egger回归法(Mendelian randomization-Egger,MR-Egger回归)、加权中位数法(weighted median,WME)和加权众数法(weighted mode,WM)分析评估因果效应。IVW作为主要统计方法,MR-Egger、WME和WM作为辅助方法。采用MR-Egger回归截距和MR-PRESSO检验评估水平多效性全局检验是否违反MR假设。Cochran′s Q检验用于评估异质性。结果·筛选出10个工具变量,Steiger检验显示全部PE相关SNP对结直肠癌因果关系方向一致。10个SNP中rs102275和rs9393903位点与结直肠癌风险正相关,关联度分别为0.45(P=8.01×10-5)和0.82(P=2.31×10-2)。4种MR分析的结果一致,均显示血浆PE水平与结直肠腺癌的发病风险存在正向关联。IVW中OR为1.36,95%CI 1.17~1.59,P=7.24×10-5;MR-Egger回归OR为1.44,95%CI 0.97~2.14,P=1.12×10-1;WME中OR为1.33,95%CI 1.07~1.65,P=8.81×10-3;WM中OR为1.41,95%CI 1.12~1.77,P=1.70×10-2。Cochran′s Q检验结果显示10个SNP对结直肠腺癌估计值无异质性。MR-Egger回归截距和MR-PRESSO检验表明全部SNP无水平多效性。采用留一法在剔除任一个SNP后,总体置信区间重叠,表明结果对单个SNP不敏感,具有较高的稳健性。结论·血浆PE水平与结直肠腺癌风险之间存在因果关联,遗传预测的血浆PE每增加1个标准差,结直肠腺癌发生风险就会增加0.36倍(95%CI 1.17~1.59,P=7.24×10-5)。

关键词: 结直肠腺癌 ; 磷脂酰乙醇胺 ; 两样本孟德尔随机化 ; 因果关联 ; 全基因组关联研究

Abstract

Objective ·To employ the two-sample Mendelian randomization (TSMR) method, using genetic variants as instrumental variables, to investigate the causal relationship between phosphatidylethanolamine (PE) and the risk of colorectal adenocarcinoma. Methods ·The single-nucleotide polymorphism (SNP) data associated with PE and colorectal adenocarcinoma were obtained from the Medical Research Council Integrative Epidemiology Unit (MRC IEU) at the University of Bristol and the Finnish Biobank, respectively. A secondary data analysis was conducted using summary statistics from genome-wide association studies (GWAS), and genetic loci strongly associated with PE were selected as instrumental variables. Four Mendelian randomization (MR) methods, inverse-variance weighted (IVW) method, MR-Egger regression, weighted median (WME) method, and weighted mode (WM) method, were employed to assess the causal effect. The IVW method was used as the primary statistical approach, while MR-Egger, WME, and WM served as supplementary methods. Rigorous assessments for robustness included MR-Egger regression, MR-PRESSO global tests for horizontal pleiotropy, and Cochran′s Q test to evaluate heterogeneity. Results ·Ten instrumental variables were selected, and the Steiger test indicated that all PE-associated SNPs exhibited a consistent direction of causal effect on colorectal cancer. Among the 10 SNPs, rs102275 and rs9393903 showed the strongest positive associations with colorectal adenocarcinoma risk, with effect sizes of 0.45 (P=8.01×10-5) and 0.82 (P=2.31×10-2), respectively. Consistent findings from MR analyses demonstrated that PE elevated the risk of colorectal adenocarcinoma across all four methods. In the IVW analysis, the OR was 1.36 (95%CI 1.17‒1.59, P=7.24×10-5). In the MR-Egger regression, the OR was 1.44 (95%CI 0.97‒2.14, P=1.12×10-1). In the WEM analysis, the OR was 1.33 (95%CI 1.07‒1.65, P=8.81×10-3). In the WM analysis, the OR was 1.41 (95%CI 1.12‒1.77, P=1.70×10-2). Cochran′s Q test revealed no heterogeneity among the effect estimates of the 10 SNPs on colorectal adenocarcinoma. Both MR-Egger regression intercept and MR-PRESSO test indicated no evidence of horizontal pleiotropy among the SNPs. Leave-one-out analysis showed overlapping confidence intervals after excluding any single SNP, indicating that the results were not sensitive to individual SNPs and were highly robust. Conclusions ·There is a causal association between circulating PE levels and the risk of colorectal adenocarcinoma. A genetically predicted increase of one standard deviation in plasma PE levels is associated with a 1.36-fold higher risk of developing colorectal adenocarcinoma (95%CI 1.17‒1.59, P=7.24×10-5).

Keywords: colorectal adenocarcinoma ; phosphatidylethanolamine ; two-sample mendelian randomization ; causal association ; genome-wide association study

PDF (2061KB) 元数据 多维度评价 相关文章 导出 EndNote| Ris| Bibtex  收藏本文

本文引用格式

徐苓, 皇甫昱婵, 沈立松, 马妍慧. 两样本孟德尔随机化分析血浆磷脂酰乙醇胺水平与结直肠腺癌发病风险的关系. 上海交通大学学报(医学版)[J], 2025, 45(5): 605-613 doi:10.3969/j.issn.1674-8115.2025.05.009

XU Ling, HUANGFU Yuchan, SHEN Lisong, MA Yanhui. Causal association between plasma phosphatidylethanolamine and risk of colorectal adenocarcinoma: a two-sample Mendelian randomization study. Journal of Shanghai Jiao Tong University (Medical Science)[J], 2025, 45(5): 605-613 doi:10.3969/j.issn.1674-8115.2025.05.009

2023年,结直肠癌在美国的新发和死亡病例中位居第三位,是常见的恶性肿瘤之一,其中腺癌约占95%1。结直肠腺癌的发生和进展是多重复杂因素相互作用的结果,反映了疾病的多面性。磷脂代谢的紊乱会影响膜结构的稳定,进而影响细胞功能2。快速增殖的肿瘤细胞对膜的需求不断增加,上调了磷脂代谢的水平,因而可以将其作为诊断肿瘤的生物标志物,也可以作为抗肿瘤治疗的新靶点3

磷脂酰乙醇胺(phosphatidylethanolamine,PE)作为细胞膜的重要组成部分,主要通过乙醇胺途径(Kennedy途径)和Lands循环进行生物合成4。这些途径的调节异常与多种疾病密切相关5,例如恶性肿瘤6、自身免疫性疾病7、遗传性疾病8-9,以及胰岛素抵抗和肥胖等代谢紊乱10等。PE和磷脂酰胆碱(phosphatidylcholine,PC)水平的改变,以及磷脂代谢物和脂肪酸谱的变化,被认为是肿瘤发生和发展的标志性特征3。脂质组学作为研究脂质代谢的重要工具,拓宽了我们对肿瘤组织中脂质组成的了解。例如,在结肠肿瘤细胞球状体(colon cancer cell spheroids,CCS)11和非转移性及转移性结直肠肿瘤患者血浆中分离出的外泌体12中观察到PE水平异常升高。一项巢式病例对照研究6发现包括PE在内的43种脂质与胰腺导管腺癌的发病风险相关。此外,也有研究13表明,结直肠肿瘤组织中存在脂质代谢的重编程,其主要特征是PE水平的上调和甘油三酯水平的下降,从而促进了肿瘤细胞的快速增殖。

目前PE与结直肠肿瘤风险之间关联性的研究有限,且观察性研究本身固有的局限性,如易受混杂因素和选择偏差的影响,都会给最终得出的结论带来挑战。早期只有一项研究14报道PE与高血压之间存在遗传相关性。2024年后越来越多的孟德尔随机化(Mendelian randomization,MR)分析表明PE水平与多种疾病有关,例如雌激素受体阴性乳腺癌15、肺癌16、糖尿病肾病17、儿童和青少年心血管代谢异常18等。研究PE水平与结直肠腺癌之间的因果关联对于病原学研究至关重要,原因在于高水平PE是可以预防和治疗的。两样本孟德尔随机化(two-sample Mendelian randomization,TSMR)是利用2个独立样本的数据来源,评估1个或多个单核苷酸多态性(single-nucleotide polymorphism,SNP)作为工具变量的暴露因素与结局之间的因果关系19。因此,本研究拟采用TSMR分析,从遗传学的角度更准确地评估PE水平与结直肠腺癌潜在的因果关系。

1 资料与方法

1.1 数据来源

本研究采用具有公开可用汇总层面数据的TSMR设计。PE的全基因组关联研究(genome-wide association study,GWAS)数据来自布里斯托大学MRC综合流行病学小组(The Medical Research Council Integrative Epidemiology Unit,MRC-IEU)20-21https://gwas.mrcieu.ac.uk/datasets/ebi-a-GCST9006 0313/),为暴露因素。结直肠腺癌数据来自芬兰生物银行,包括5 378例结直肠腺癌和287 137例非肿瘤对照(https://risteys.finregistry.fi/endpoints/C3_COLORECTAL_ADENO_EXALLC)。本研究全部数据来自欧洲人群。

1.2 工具变量选择

通过全基因组关联荟萃分析,选择与PE具有基因组相关且P值<5×10-5的10个遗传变异SNP位点进行汇集22。为确保遗传工具的独立性,设置连锁不平衡参数r2<0.001,遗传距离为10 000 kb,即去除在10 000 kb范围内与最显著SNP的r2≥0.001的SNP;次要等位基因频率(minor allele frequency,MAF)<0.0523F值>10以避免弱工具变量偏倚23-24。应用Steiger方向性检验评估PE相关工具变量与结直肠腺癌风险的因果方向是否正确,否则予以排除。

1.3 统计学分析

应用4种MR方法,包括逆方差加权法(inverse-variance weighted,IVW)、孟德尔随机化Egger回归法(Mendelian randomization-Egger,MR-Egger回归)、加权中位数法(weighted median,WME)和加权众数法(weighted mode,WM),评估PE与结直肠腺癌风险之间的因果效应,并可视化以上结果。在假设遗传变异不相关的情况下,IVW被认为是渐近等同于在个体水平数据分析中广泛使用的两阶段最小二乘估计。如果所有遗传变异都满足工具变量假设,那么IVW可以作为因果效应的一致估计值,这意味着随着样本量的增加,它接近真实值25。IVW假设所有的工具变量对暴露因素影响是线性的,是最有效的方法(统计功效最强),且不受混杂因素影响。MR-Egger回归是一种将Wald比率合并到元回归中的方法,能够检测和校正横向混杂因素,其截距可提供直接混杂的证据。然而,MR-Egger回归统计学效能较低。WME则给予有效工具变量更大的权重,即使50%的工具变量为无效变量时,WME也能提供一致的因果效应估计值。WM是基于众数的估计模型,具有较低的偏差和Ⅰ型错误率,可使具有相似因果效应的SNP聚集,并返回大多数聚类SNP的因果效应估计,但因果效应检测能力也较低。因此本研究将IVW作为主要统计方法,MR-Egger回归、WME和WM作为辅助统计方法。所有结果均以OR和95%CI显示,且P<0.05表示结果具有统计学意义。

异质性检验主要用于评估不同遗传工具变量的效应是否存在差异,常用Cochran′s Q检验。如果存在异质性,表明某些SNP的效应方向或大小可能不一致,这可能与工具变量的选择或数据中的混杂因素有关。对IVW和MR-Egger回归采用Cochran′s Q检验以检测异质性,P<0.05表示存在异质性。水平多效性检验用于评估遗传工具变量是否通过除暴露因素(PE水平)以外的其他途径影响结直肠腺癌风险。如果存在水平多效性,MR结果的因果推断可能会受到干扰。常用的检验方法包括Egger回归截距和MR-PRESSO检验,P<0.05代表存在水平多效性,即所挑选的工具变量通过暴露以外的途径显著影响结局。留一法分析(leave-one-out analysis)用于评估结果稳健性和敏感性,主要目的是检验MR结果是否受到单个SNP的过度驱动(即某个SNP对整体效应的影响过大)。所有统计分析均使用R软件(4.3.0版本)中的TSMR软件包进行。

2 结果

2.1 工具变量

经筛选确定10个SNP作为工具变量,且单一的SNP对应的F值为13.63~202.64,说明因果关联受到弱工具变量偏倚影响的可能性较小(单一SNP的F值均>10)。采用Steiger检验对10个工具变量是否存在双向因果关系进行检验,总P值为7.20×10-144,表明所有SNP对PE和结直肠腺癌因果关系方向一致。最后10个SNP全部纳入作为PE的工具变量(表1)用于后续研究。

表1   PE用于TSMR分析的工具变量

Tab 1  Instrumental variables for TSMR analysis of PE

SNPChrPosition

Effect

allele

Other

allele

EAFβSEP valueNearby geneR2F valueSteigerP value
rs1022751161790331CT0.35-0.180.014.40×10-66TMEM2580.020 9202.648.47×10-57
rs10781444977534256CT0.800.060.013.10×10-6GNA140.001 614.691.48×10-5
rs10872994184305068CT0.330.050.015.41×10-6MYL12BP20.001 514.179.06×10-6
rs11254897106942964GA0.060.090.026.40×10-6LOC1053763870.001 513.793.20×10-5
rs15320851558391167GA0.61-0.110.013.01×10-27ALDH1A20.008 479.732.58×10-25
rs173953492132439386AG0.05-0.110.022.00×10-6GPR390.001 615.387.45×10-6
rs18005881558431476TC0.220.140.011.10×10-31LIPC0.009 894.849.27×10-30
rs75933914151296770AG0.030.130.038.70×10-6

TTC39A

LOC124904177

0.001 413.634.65×10-5
rs76557514148712269TC0.21-0.060.018.30×10-7LOC1079861950.001 916.864.04×10-6
rs9393903611042676AG0.230.080.014.00×10-12ELOVL20.003 533.243.13×10-10

Note: SNP—single-nucleotide polymorphism; Chr—chromosome; EAF—effect allele frequency; SE—standard error; TMEM258—transmembrane protein 258; GNA14—G protein subunit α 14; MYL12BP2—myosin light chain 12B pseudogene 2; ALDH1A2—aldehyde dehydrogenase 1 family member A2; GPR39—G protein-coupled receptor 39; LIPC—lipase C, hepatic type; TTC39A—tetratricopeptide repeat domain 39A; ELOVL2—ELOVL fatty acid elongase 2.

新窗口打开| 下载CSV


2.2 MR分析

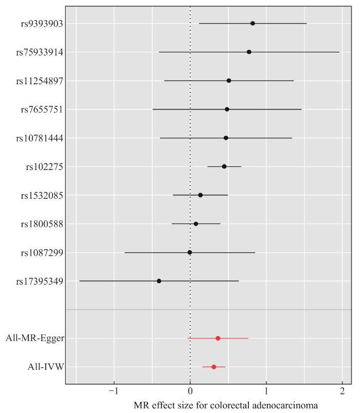
首先评估单个和组合SNP对结直肠腺癌风险的影响(表2)。森林图(图1)展示了单因素风险分析,和MR-Egger回归、IVW 2种MR方法评估单个和组合SNP对结直肠腺癌风险的效应值及其95%置信区间。从图中可以看到,每个SNP与结直肠腺癌风险之间的关联强度以及其不确定性。rs102275和rs9393903位点与结直肠腺癌风险具有较强的正相关,关联度分别为0.45(P=8.01×10-5)和0.82(P=2.31×10-2)。rs17395349对整个的负向关联强度最大。大多数SNP的效应方向一致,表明循环PE水平升高与结直肠腺癌风险增加存在显著正相关。

表2   单一和组合SNP对结直肠腺癌发病风险的影响

Tab 2  Effect of single and combined SNPs on colorectal adenocarcinoma risk

SNPβSEP value
rs1022750.450.118.01×10-5
rs107814440.470.442.89×10-1
rs1087299-0.010.449.87×10-1
rs112548970.510.432.42×10-1
rs15320850.130.184.70×10-1
rs17395349-0.410.534.42×10-1
rs18005880.070.166.48×10-1
rs759339140.770.612.01×10-1
rs76557510.480.503.34×10-1
rs93939030.820.362.31×10-2
All IVW0.310.087.24×10-5
All MR-Egger0.360.201.12×10-1

新窗口打开| 下载CSV


图1

图1   PE相关SNP与结直肠腺癌风险关联的森林图

Note: The black dots represent the log ORs for colorectal adenocarcinoma using each PE-associated SNP as an instrumental variable, corresponding to the risk per one standard deviation increase in PE levels. The red dots represent the combined causal estimates, derived using all SNPs as instrumental variables, based on the MR-Egger regression and IVW methods. The horizontal lines represent the 95%CI of the estimates.

Fig 1   Forest plot of the association of PE-associated SNPs with risk of colorectal adenocarcinoma


IVW、MR-Egger回归、WME和WM计算得出的遗传效应方向一致。图2显示10个SNP的效应量与PE的效应量之间存在线性关系,表明暴露因素(PE)与结直肠腺癌发生风险存在因果关系。IVW结果显示:OR=1.36,95%CI 1.17~1.59,P=7.24×10-5。MR-Egger回归:OR=1.44,95%CI 0.97~2.14,P=1.12×10-1。WME:OR=1.33,95%CI 1.07~1.65,P=8.81×10-3。WM:OR=1.41,95%CI 1.12~1.77,P=1.70×10-2表3)。IVW、WME和WM的结果均具有统计学意义(均P<0.05),表明PE相关的SNP与结直肠腺癌关系显著。虽然MR-Egger回归的结果未达到统计学意义,但OR方向与其他3种方法一致,表明PE相关的SNP与结直肠腺癌风险正向关联性增强。

图2

图2   10SNPPE、结直肠腺癌关联的汇总数据估计的散点图

Note: Each dot in this graph represents an instrumental variable; the lines at each dot reflect the 95%CI. The x-axis represents the effect of each SNP on the exposure factor (PE), and the y-axis represents the effect on the outcome (colorectal adenocarcinoma). The colored lines represent the Mendelian randomization fit (MR Fit).

Fig 2   Scatter plot of summary data estimates for the associations of 10 SNPs with PE and colorectal adenocarcinoma


表3   TSMR估计血浆PE相关SNP与结直肠腺癌发生风险的因果关系

Tab 3  Causal relationship between SNPs associated with plasma PE and the risk of colorectal adenocarcinoma estimated by TSMR

OutcomeMR methodOR (95%CI)P valueP value (Cochran′s Q)
Colorectal adenocarcinomaIVW1.36 (1.17‒1.59)7.24×10-50.363
Colorectal adenocarcinomaMR-Egger1.44 (0.97‒2.14)1.12×10-10.283
Colorectal adenocarcinomaWME1.33 (1.07‒1.65)8.81×10-3
Colorectal adenocarcinomaWM1.41 (1.12‒1.77)1.70×10-2

新窗口打开| 下载CSV


2.3 敏感性分析

采用Cochran′s Q检验评估工具变量的效应是否存在异质性,IVW(P=0.363)和MR-Egger回归(P=0.283)结果显示10个SNP对结直肠腺癌因果效应的估计值无异质性(表3)。以MR-Egger截距和MR-PRESSO检验评估SNP水平多效性检验,2种方法对IVW的检验P值分别为0.782和0.346,均大于0.05,表明工具变量不受暴露因素之外的因素影响结局。漏斗图以每个SNP的效应估计值(β)与其精度(通常为标准误差的倒数)之间的关系,可视化展示不同SNP的效应是否存在异质性和水平多效性。本研究中10个SNP的漏斗图显示因果效应的分布基本呈轴对称,表示发生偏倚的可能性小,说明工具变量之间差异小,且研究效应与其精确度之间没有系统性的关系,结果较为稳健(图3A)。

图3

图3   敏感性分析结果

Note: A. The funnel plot visualized the heterogeneity of each genetic variant. B. Leave-one-out plots for sensitivity analysis of the association between PE and colorectal adenocarcinoma.

Fig 3   Results of sensitivity analysis


为验证每个SNP对总体因果估计的敏感性,采用留一法逐个排除分析(图3B)。留一法可以比较剔除该SNP后的效应估计值与完整数据集的效应估计值,从而评估每个SNP对整体MR效应的贡献和稳定性。在逐一剔除单个SNP并重复MR,结果均在“0”值右侧正向分布,说明MR的结果稳健,即便剔除任意一个PE相关SNP都难以对因果相关的估计产生较大影响。

3 讨论

实验和观察性研究表明PE与结直肠腺癌之间存在关联。本研究利用公开可用的大规模GWAS数据集,采用TSMR研究揭示了PE水平与结直肠腺癌风险之间存在内在联系。应用Steiger检验排除MR中的结直肠腺癌与PE反向因果的SNP,以与PE显著相关的10个SNP作为主要工具变量。研究结果表明,PE水平的升高可能会增加结直肠腺癌的发病风险。

结直肠癌的发生受到多种因素复杂相互作用,包括代谢重编程、炎症、局部肠道环境、突变、营养物质和表观遗传变化的积累26。肿瘤细胞中观察到的磷脂代谢失调不仅影响膜结构,还在促进癌症进展中起着关键作用27,被认为是肿瘤标志物。脂肪酸组成和脂肪生成的改变导致磷脂饱和度增加,增强肿瘤细胞对抗过氧化反应和氧化应激介导细胞死亡的能力3。此外,磷脂水平的变化也会影响细胞信号通路,进一步促进肿瘤细胞的发展和存活。致癌突变和肿瘤抑制基因的丢失使得结直肠癌细胞发生代谢重编程,例如肿瘤细胞会上调磷脂水平,如PE28和PC。

磷脂是生物体中的重要组成部分。它是生物膜的结构骨架,为细胞和细胞器形成天然屏障,又是参与信号转导等各种生命过程的生物活性分子。哺乳动物细胞中最丰富的磷脂是PC和PE,分别占细胞总磷脂库的50%和25%29。哺乳动物细胞通过2种主要途径从头合成PE,即胞苷二磷酸(cytidine diphosphate,CDP)-Kennedy途径和磷脂酰丝氨酸脱羧酶(phosphatidylserine decarboxylase,PSD)途径5。另外,约70%新合成的磷脂通过Lands循环进行磷脂重塑30-31,这个过程增加了膜内磷脂的复杂性和多样性。虽然PE主要存在质膜内,但其丰度不仅取决于细胞类型,也取决于亚细胞区室、细胞和组织类型,以及特定细胞生命周期的时刻。例如,Kennedy途径中,合成PE的关键酶乙醇胺磷酸胞苷酰转移酶2(ethanolamine-phosphate cytidylyltransferase 2,PCYT2)和乙醇胺磷酸转移酶(ethanolamine phosphotransferase,ECT)的遗传缺陷导致复杂且严重的遗传性痉挛性截瘫(hereditary spastic paraplegia,HSP)32。PE在滤泡辅助T细胞(follicular helper T,Tfh)分化中发挥关键作用33。同样地,肿瘤微环境(tumor microenvironment,TME)中CD8 T细胞内PE含量低于循环系统中的CD8 T细胞,PE的减少可能导致细胞膜稳定性下降,进而通过铁死亡机制促进CD8 T细胞死亡,最终抑制其抗肿瘤作用34

本研究中的10个SNP,肝脂肪酶(lipase C,hepatic type,LIPC)基因中的rs1800588和超长链脂肪酸延长酶2(ELOVL fatty acid elongase 2,ELOVL2)基因中的rs9393903在GWAS中已被鉴定并定位到甘油磷脂,特别是甘油磷脂酰乙醇胺35。rs1532085位点虽然在数据库内最新更新暂无关联基因,过去的研究36则报道其与LIPC有关。一项多中心参与的横断面研究35显示LIPC基因的多态性与PE代谢物相关。然而,本研究发现rs1800588(P=0.648)、rs1532085(P=0.470)与结直肠腺癌之间没有的直接因果关联。LIPC是肝脏中表达的甘油三酯脂肪酶,具有甘油三酯水解酶和受体介导的脂蛋白摄取的配体/桥接因子的双重功能。LIPC对肝细胞内胆固醇稳态、血浆脂蛋白颗粒重塑和甘油三酯分解代谢起关键作用37,对于PE水平的影响是间接的,因此其作用可能被从头合成通路和补偿途径代偿。在上皮细胞向间充质细胞转化中观察到下调ELOVL2会严重扰乱包括PE在内的各种复杂脂质种类的稳态38。值得注意的是,ELOVL2低表达的乳腺癌患者预后不良39。本研究结果也表明rs9393903与结直肠腺癌的风险存在因果关联(P=2.31×10-2)。PE的结构包含一个甘油分子,其sn-1和sn-2位置羟基酯化,通常连接长度为16~20个碳原子的脂肪酸。sn-1羟基中酯化的脂肪酸通常是饱和的(无双键),最大长度为18个碳原子,而在sn-2位置连接的链较长,且具有一个或多个不饱和键(双键)。ELOVL2的主要功能是参与脂肪酸延伸、多不饱和脂肪酸和极长链脂肪酸的生物合成过程40。这些发现为LIPCELOVL2与结直肠腺癌之间的关联研究奠定了基础。

跨膜蛋白258(transmembrane protein 258,TMEM258)中的rs102275在全基因组范围内与多不饱和脂肪酸41,以及全球脂质遗传学联盟(Global Lipids Genetics Consortium,GLGC)队列中的血清甘油三酯或高密度脂蛋白胆固醇(high-density lipoprotein cholesterol,HDL-C)水平显著相关42。在本研究中,rs102275与结直肠腺癌显著相关(P=8.01×10-5)。目前尚未有研究报道该位点和PE的相关性,考虑到rs102275与多不饱和脂肪酸有关,需要更多的基础研究证明TMEM258是否参与PE支链脂肪酸中不饱和键的形成。目前尚未有相关报道涉及以下位点:G蛋白偶联受体39(G protein-coupled receptor 39,GPR39)的rs17395349、G蛋白亚基α14(G protein subunit α 14,GNA14)的rs10781444、四三肽重复结构域39A(tetratricopeptide repeat domain 39A,TTC39A)中的rs75933914。但研究43-44发现GPR39可能参与调节脂质代谢平衡,GNA14可能在加速结直肠肿瘤细胞的增殖和恶性肿瘤进展中起重要作用45,而TTC39A是驱动非酒精性脂肪性肝炎进展为肝癌的关键生物标志物46。目前还没有关于脂质代谢,尤其是PE与本研究中筛选出的长链非编码RNA(LOC105376387LOC124904177LOC107986195)中的几个SNP之间关联的研究,因此,本研究结果为之后的研究提供了观察性研究证据。

本研究的优势在于使用MR方法在同一研究人群中评估了PE与结直肠腺癌之间的因果关联,并遵循STROBE-MR47指导完成全文。由于遗传变异在受孕时是随机分配并固定的,这确保了等位基因不受社会经济地位相关属性或后续疾病的影响,从而使MR结果比观察性研究更准确。因此,本研究为减轻遗传背景对疾病的影响,采用MR分析明确了与PE相关的结直肠腺癌的终身风险。本研究数据源于欧洲血统人群中完成的结直肠腺癌GWAS,减少了因人群分层而产生的潜在偏差。

本研究也存在一些局限性。首先,研究结果主要基于欧洲血统的个体,其普遍适用性受到限制,可能无法完全适用于其他人群。其次,虽然本研究尽量识别离群值,但不能完全排除结果中潜在的水平多效性。最后,由于本研究数据提取局限于疾病诊断信息,无法深入探究PE与肿瘤分期/分级以及生存期之间的关系。与随机对照试验相比,MR只能应用于有合适的遗传变异的危险因素。对大多数危险因素而言,遗传变异通常的影响很小(即它们解释了一小部分变异),这可能导致MR分析的统计效力较低,并有假阴性结果的风险。通过利用与危险因素相关的多个遗传变异作为工具变量,可以提高方差解释的比例,从而提高统计功效。根据孟德尔定律,每个性状理论上应该独立于其他性状进行遗传,从而防止混杂。本研究采用的单变量MR分析,虽然结论易于理解,但仍不能排除遗传变异可能与其他变量工具存在交互作用。

总之,本研究应用MR方法为PE与结直肠腺癌之间存在因果关系提供了强而有力的证据。研究结果表明,遗传预测的血浆PE每增加1个标准差,结直肠腺癌发生风险增加0.36倍(95%CI 1.17~1.59,P=7.24×10-5)。未来需要更多关于PE与结直肠肿瘤之间的关系研究,从而为临床治疗策略提供有力支持。

作者贡献声明

马妍慧负责研究设计;徐苓、皇甫昱婵参与数据收集和分析;徐苓负责撰写论文;沈立松、马妍慧负责审阅并修改。所有作者均阅读并同意了最终稿件的提交。

AUTHOR's CONTRIBUTIONS

MA Yanhui designed this research. XU Ling and HUANGFU Yuchan participated in data collection and analysis. This article was written by XU Ling, and reviewed and revised by SHEN Lisong and MA Yanhui. All authors have read the last version of the paper and consented to its submission.

利益冲突声明

所有作者声明不存在利益冲突。

COMPETING INTERESTS

All authors disclose no relevant conflict of interests.

参考文献

SIEGEL R L, MILLER K D, WAGLE N S, et al. Cancer statistics, 2023[J]. CA Cancer J Clin, 2023, 73(1): 17-48.

[本文引用: 1]

HOFMANOVÁ J, SLAVÍK J, OVESNÁ P, et al. Phospholipid profiling enables to discriminate tumor- and non-tumor-derived human colon epithelial cells: phospholipidome similarities and differences in colon cancer cell lines and in patient-derived cell samples[J]. PLoS One, 2020, 15(1): e0228010.

[本文引用: 1]

STOICA C, FERREIRA A K, HANNAN K, et al. Bilayer forming phospholipids as targets for cancer therapy[J]. Int J Mol Sci, 2022, 23(9): 5266.

[本文引用: 3]

KENNY T C, SCHARENBERG S, ABU-REMAILEH M, et al. Cellular and organismal function of choline metabolism[J]. Nat Metab, 2025, 7(1): 35-52.

[本文引用: 1]

VAN DER VEEN J N, KENNELLY J P, WAN S, et al. The critical role of phosphatidylcholine and phosphatidylethanolamine metabolism in health and disease[J]. Biochim Biophys Acta Biomembr, 2017, 1859(9 Pt B): 1558-1572.

[本文引用: 2]

NAUDIN S, SAMPSON J N, MOORE S C, et al. Lipidomics and pancreatic cancer risk in two prospective studies[J]. Eur J Epidemiol, 2023, 38(7): 783-793.

[本文引用: 2]

WANG Y Z, GUO F, GUO Y K, et al. Untargeted lipidomics reveals specific lipid abnormalities in systemic lupus erythematosus[J]. Clin Exp Rheumatol, 2022, 40(5): 1011-1018.

[本文引用: 1]

BUTLER F M, UTT J, MATHEW R O, et al. Plasma metabolomics profiles in Black and White participants of the Adventist Health Study-2 cohort[J]. BMC Med, 2023, 21(1): 408.

[本文引用: 1]

JEZIORNY K, PIETROWSKA K, SIEMINSKA J, et al. Serum metabolomics identified specific lipid compounds which may serve as markers of disease progression in patients with Alström and Bardet-Biedl syndromes[J]. Front Mol Biosci, 2023, 10: 1251905.

[本文引用: 1]

GESTA S, TSENG Y H, RONALD KAHN C. Developmental origin of fat: tracking obesity to its source[J]. Cell, 2007, 131(2): 242-256.

[本文引用: 1]

XIE P S, ZHANG H N, WU P F, et al. Three-dimensional mass spectrometry imaging reveals distributions of lipids and the drug metabolite associated with the enhanced growth of colon cancer cell spheroids treated with triclosan[J]. Anal Chem, 2022, 94(40): 13667-13675.

[本文引用: 1]

ELMALLAH M I Y, ORTEGA-DEBALLON P, HERMITE L, et al. Lipidomic profiling of exosomes from colorectal cancer cells and patients reveals potential biomarkers[J]. Mol Oncol, 2022, 16(14): 2710-2718.

[本文引用: 1]

MIKA A, PAKIET A, CZUMAJ A, et al. Decreased triacylglycerol content and elevated contents of cell membrane lipids in colorectal cancer tissue: a lipidomic study[J]. J Clin Med, 2020, 9(4): 1095.

[本文引用: 1]

LIU J, DE VRIES P S, DEL GRECO M F, et al. A multi-omics study of circulating phospholipid markers of blood pressure[J]. Sci Rep, 2022, 12(1): 574.

[本文引用: 1]

CAO Y C, AI M C, LIU C J. The impact of lipidome on breast cancer: a Mendelian randomization study[J]. Lipids Health Dis, 2024, 23(1): 109.

[本文引用: 1]

FAN Z. A two-sample Mendelian randomization study of lipidome and lung cancer[J]. J Pharm Biomed Anal, 2025, 252: 116514.

[本文引用: 1]

CHEN Y Q, TORTA F, KOH H W L, et al. Metabolomics profiling in multi-ancestral individuals with type 2 diabetes in Singapore identified metabolites associated with renal function decline[J]. Diabetologia, 2025, 68(3): 557-575.

[本文引用: 1]

HUANG Y, STINSON S E, THODBERG M, et al. Genetic factors shaping the plasma lipidome and the relations to cardiometabolic risk in children and adolescents[J]. EBioMedicine, 2025, 112: 105537.

[本文引用: 1]

BURGESS S, DAVEY SMITH G, DAVIES N M, et al. Guidelines for performing mendelian randomization investigations: update for summer 2023[J]. Wellcome Open Res, 2023, 4: 186.

[本文引用: 1]

HEMANI G, ZHENG J, ELSWORTH B, et al. The MR-Base platform supports systematic causal inference across the human phenome[J]. eLife, 2018, 7: e34408.

[本文引用: 1]

ELSWORTH B, LYON M, ALEXANDER T, et al. The MRC IEU OpenGWAS data infrastructure[DB/OL]. (2020-08-10)[2024-12-26]. https://www.biorxiv.org/content/10.1101/2020.08.10.244293v1.

[本文引用: 1]

WOOTTON R E, LAWN R B, MILLARD L A C, et al. Evaluation of the causal effects between subjective wellbeing and cardiometabolic health: mendelian randomisation study[J]. BMJ, 2018, 362: k3788.

[本文引用: 1]

刘明, 高亚, 杨珂璐, 等. 孟德尔随机化研究的报告规范(STROBE-MR)解读[J]. 中国循证医学杂志, 2022, 22(8): 978-987.

[本文引用: 2]

LIU M, GAO Y, YANG K L, et al. Interpretation of STROBE-MR: a statement for strengthening the reporting of observational studies in epidemiology using Mendelian randomization[J]. Chinese Journal of Evidence-Based Medicine, 2022, 22(8): 978-987.

[本文引用: 2]

BURGESS S, THOMPSON S G, CHD GENETICS COLLABORATION C R P. Avoiding bias from weak instruments in Mendelian randomization studies[J]. Int J Epidemiol, 2011, 40(3): 755-764.

[本文引用: 1]

BOWDEN J, DAVEY SMITH G, HAYCOCK P C, et al. Consistent estimation in mendelian randomization with some invalid instruments using a weighted Median estimator[J]. Genet Epidemiol, 2016, 40(4): 304-314.

[本文引用: 1]

DENG L, HUANG-FU Y C, MA Y H. Dietary nutrients involved in one-carbon metabolism and colorectal cancer risk[J]. LabMed Discov, 2024, 1(2): 100022.

[本文引用: 1]

BIAN X L, LIU R, MENG Y, et al. Lipid metabolism and cancer[J]. J Exp Med, 2021, 218(1): e20201606.

[本文引用: 1]

PETKEVICIUS K, PALMGREN H, GLOVER M S, et al. TLCD1 and TLCD2 regulate cellular phosphatidylethanolamine composition and promote the progression of non-alcoholic steatohepatitis[J]. Nat Commun, 2022, 13(1): 6020.

[本文引用: 1]

TAVASOLI M, LAHIRE S, REID T, et al. Genetic diseases of the Kennedy pathways for membrane synthesis[J]. J Biol Chem, 2020, 295(51): 17877-17886.

[本文引用: 1]

DAS S, CASTILLO C, STEVENS T. Phospholipid remodeling/generation in Giardia: the role of the lands cycle[J]. Trends Parasitol, 2001, 17(7): 316-319.

[本文引用: 1]

BARTOLACCI C, ANDREANI C, VALE G, et al. Targeting de novo lipogenesis and the Lands cycle induces ferroptosis in KRAS-mutant lung cancer[J]. Nat Commun, 2022, 13(1): 4327.

[本文引用: 1]

CIKES D, ELSAYAD K, SEZGIN E, et al. PCYT2-regulated lipid biosynthesis is critical to muscle health and ageing[J]. Nat Metab, 2023, 5(3): 495-515.

[本文引用: 1]

FU G T, GUY C S, CHAPMAN N M, et al. Metabolic control of Tfh cells and humoral immunity by phosphatidylethanolamine[J]. Nature, 2021, 595(7869): 724-729.

[本文引用: 1]

PING Y, SHAN J Q, QIN H M, et al. PD-1 signaling limits expression of phospholipid phosphatase 1 and promotes intratumoral CD8+ T cell ferroptosis[J]. Immunity, 2024, 57(9): 2122-2139.e9.

[本文引用: 1]

LAINS I, ZHU S J, HAN X K, et al. Genomic-metabolomic associations support the role of LIPC and glycerophospholipids in age-related macular degeneration[J]. Ophthalmol Sci, 2021, 1(1): 100017.

[本文引用: 2]

MANOLIO T A. Cohort studies and the genetics of complex disease[J]. Nat Genet, 2009, 41(1): 5-6.

[本文引用: 1]

GUERRA R, WANG J, GRUNDY S M, et al. A hepatic lipase (LIPC) allele associated with high plasma concentrations of high density lipoprotein cholesterol[J]. Proc Natl Acad Sci USA, 1997, 94(9): 4532-4537.

[本文引用: 1]

KANG Y P, YOON J H, LONG N P, et al. Spheroid-induced epithelial-mesenchymal transition provokes global alterations of breast cancer lipidome: a multi-layered omics analysis[J]. Front Oncol, 2019, 9: 145.

[本文引用: 1]

JEONG D, HAM J, KIM H W, et al. ELOVL2: a novel tumor suppressor attenuating tamoxifen resistance in breast cancer[J]. Am J Cancer Res, 2021, 11(6): 2568-2589.

[本文引用: 1]

DE ANTUENO R J, KNICKLE L C, SMITH H, et al. Activity of human Delta5 and Delta6 desaturases on multiple n-3 and n-6 polyunsaturated fatty acids[J]. FEBS Lett, 2001, 509(1): 77-80.

[本文引用: 1]

COLTELL O, SORLÍ J V, ASENSIO E M, et al. Genome-wide association study for serum omega-3 and omega-6 polyunsaturated fatty acids: exploratory analysis of the sex-specific effects and dietary modulation in Mediterranean subjects with metabolic syndrome[J]. Nutrients, 2020, 12(2): 310.

[本文引用: 1]

SAJUTHI S P, SHARMA N K, COMEAU M E, et al. Genetic regulation of adipose tissue transcript expression is involved in modulating serum triglyceride and HDL-cholesterol[J]. Gene, 2017, 632: 50-58.

[本文引用: 1]

KOLODZIEJSKI P A, PRUSZYNSKA-OSZMALEK E, SASSEK M, et al. Changes in obestatin gene and GPR39 receptor expression in peripheral tissues of rat models of obesity, type 1 and type 2 diabetes[J]. J Diabetes, 2017, 9(4): 353-361.

[本文引用: 1]

DOBOSZEWSKA U, MARET W, WLAŹ P. GPR39 deorphanization: the long and winding road to eicosanoids and a crosstalk between GPR39 and hedgehog signaling in angiogenesis[J]. Proc Natl Acad Sci USA, 2023, 120(28): e2308227120.

[本文引用: 1]

PARK R, LEE S, CHIN H, et al. Tumor-promoting role of GNA14 in colon cancer development[J]. Cancers (Basel), 2023, 15(18): 4572.

[本文引用: 1]

FAN H, WANG R, WEN B, et al. Biomarkers and potential therapeutic targets driving progression of non-alcoholic steatohepatitis to hepatocellular carcinoma predicted through transcriptomic analysis[J]. Front Immunol, 2024, 15: 1502263.

[本文引用: 1]

SKRIVANKOVA V W, RICHMOND R C, WOOLF B A R, et al. Strengthening the reporting of observational studies in epidemiology using mendelian randomization: the STROBE-MR statement[J]. JAMA, 2021, 326(16): 1614-1621.

[本文引用: 1]

/