上海交通大学学报(医学版) ›› 2025, Vol. 45 ›› Issue (9): 1194-1201.doi: 10.3969/j.issn.1674-8115.2025.09.011

• 论著 · 临床研究 • 上一篇    下一篇

肾上腺累及的弥漫性大B细胞淋巴瘤患者临床病理特征、基因突变谱及预后分析

何嘉音, 陈思远, 施晴, 张慕晨, 易红梅, 董磊, 钱樱(), 王黎, 程澍, 许彭鹏(), 赵维莅   

  1. 上海交通大学医学院附属瑞金医院血液科,医学基因组学国家重点试验室,上海血液学研究所,上海 200025
  • 收稿日期:2025-05-05 接受日期:2025-06-19 出版日期:2025-09-28 发布日期:2025-09-30
  • 通讯作者: 钱 樱,主治医师,学士;电子信箱:ljj10395502@163.com
    许彭鹏,主任医师,博士;电子信箱:pengpeng_xu@126.com
  • 基金资助:
    国家自然科学基金(82130004);国家自然科学基金(81830007);国家自然科学基金(81670176);国家自然科学基金(82070204);上海交通大学医学院“双百人”项目(20230013)

Clinicopathologic characteristics, gene mutation profile, and prognostic analysis of patients with adrenal diffuse large B-cell lymphoma

HE Jiayin, CHEN Siyuan, SHI Qing, ZHANG Muchen, YI Hongmei, DONG Lei, QIAN Ying(), WANG Li, CHENG Shu, XU Pengpeng(), ZHAO Weili   

  1. Department of Hematology, Ruijin Hospital, Shanghai Jiao Tong University School of Medicine; State Key Laboratory of Medical Genomics; Shanghai Institute of Hematology, Shanghai 200025, China
  • Received:2025-05-05 Accepted:2025-06-19 Online:2025-09-28 Published:2025-09-30
  • Contact: QIAN Ying, E-mail: ljj10395502@163.com.
    XU Pengpeng, E-mail: pengpeng_xu@126.com.
  • Supported by:
    National Natural Science Foundation of China(82130004);“Two-hundred Talents” Program of Shanghai Jiao Tong University School of Medicine(20230013)

摘要:

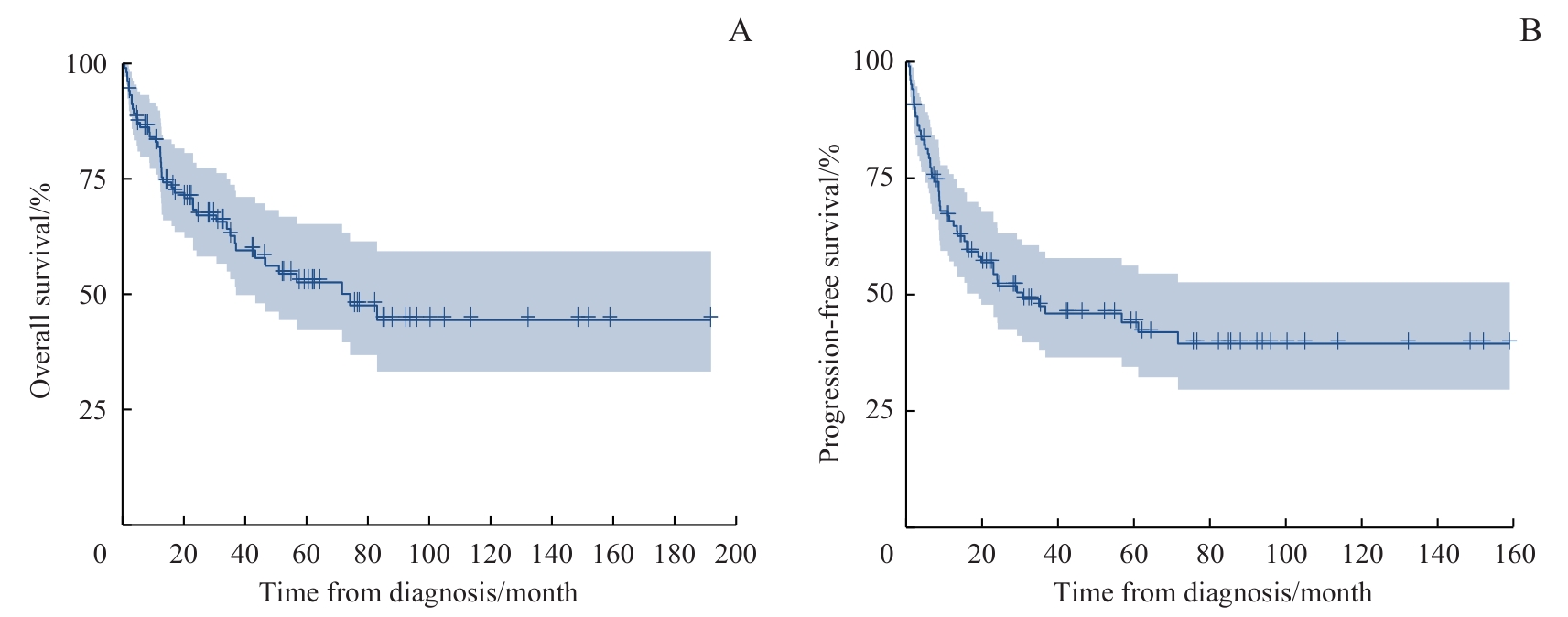
目的·探究弥漫性大B细胞淋巴瘤(diffuse large B-cell lymphoma,DLBCL)且伴有肾上腺累及的患者的临床病理特征、基因突变谱及其预后影响因素。方法·纳入上海交通大学医学院附属瑞金医院2002年3月—2022年12月收治的105例肾上腺累及的初诊DLBCL患者,对其临床病理资料、分子遗传学特征及预后因素开展回顾性队列研究。采用靶向测序技术(包含152个淋巴瘤相关基因)分析患者基因突变结果。结果·患者的中位年龄为62(15~82)岁,男女比例为2.3∶1;其中63例(60.0%)患者年龄在60岁以上,22例(21.0%)美国东部肿瘤协作组(Eastern Cooperative Oncology Group,ECOG)评分≥2分,87例(82.9%)Ann Arbor分期为Ⅲ~Ⅳ期,92例(87.6%)血清乳酸脱氢酶(lactate dehydrogenase,LDH)水平高于参考值上限,84例(80.0%)存在≥2处结外器官受累,67例(63.8%)为非生发中心B细胞亚型(non germinal center B-cell,non-GCB),95例(90.5%)国际预后指数达到或超过2分。患者的中位随访时间为28.3(0.7~191.9)个月,2年的总生存(overall survival,OS)率和无进展生存(progression-free survival,PFS)率分别是68.3%和53.1%,5年OS率和PFS率分别为52.6%和44.0%。93例患者(88.6%)进行了疗效评估,其中62例(66.7%)达到完全缓解。单因素和多因素Cox分析显示,年龄60岁以上是PFS不良预后因素,ECOG评分≥2分是OS与PFS的不良预后因素。46例肾上腺累及的DLBCL患者的靶向基因测序显示KMT2D(lysine methyltransferase 2D;n=17,37%)、PIM1(Pim-1 proto-oncogene,serine/threonine kinase;n=17,37%)、MYD88(MYD88 innate immune signal transduction adaptor;n=15,33%)、CD79B(CD79b molecule;n=13,28%)和BTG2(BTG anti-proliferation factor 2;n=10,22%)存在高频突变。结论·年龄60岁以上是肾上腺累及的DLBCL患者PFS的不良预后因素,ECOG评分2分及以上是该类患者OS与PFS的不良预后因素。KMT2D、PIM1、MYD88、CD79B、BTG2是肾上腺累及的DLBCL患者的常见高频突变基因,患者MCD亚型的比例增加。

关键词: 弥漫性大B细胞淋巴瘤, 结外, 肾上腺, 临床病理特征, 基因突变, 预后因素

Abstract:

Objective ·To analyze the clinicopathologic characteristics, gene mutation profile, and prognostic factors of patients with adrenal diffuse large B-cell lymphoma (DLBCL). Methods ·From March 2002 to December 2022, a total of 105 patients with adrenal DLBCL admitted to Ruijin Hospital, Shanghai Jiao Tong University School of Medicine were retrospectively analyzed for their clinicopathological data, survival outcomes, and prognostic factors. Patients' gene mutation profiles were evaluated by targeted sequencing of 152 lymphoma-related genes. Results ·The median age of the patients was 62 (15‒82) years and the male-to-female ratio was 2.3∶1. Among them, 63 patients (60.0%) were over 60 years old, 22 patients (21.0%) had an Eastern Cooperative Oncology Group (ECOG) performance status of two or higher, 87 patients (82.9%) were staged Ann Arbor Ⅲ‒Ⅳ, 92 patients (87.6%) had elevated serum lactate dehydrogenase (LDH) levels (above the upper limit of reference), 84 patients (80.0%) had extranodal invasion in at least two organs, 67 patients (63.8%) were of non-germinal center B-cell (non-GCB) origin, and 95 patients (90.5%) had an international prognosis index (IPI) scored over 2. With a median follow-up of 28.3 (0.7‒191.9) months, the estimated 2-year overall survival (OS) rate and progression-free survival (PFS) rate were 68.3% and 53.1%, respectively. The estimated 5-year OS rate and PFS rate were 52.6% and 44.0%, respectively. Among 93 patients who could be evaluated for clinical outcomes, 62 (66.7%) got a complete response (CR). Univariate analysis and multivariate Cox analysis revealed that age over 60 years was an adverse prognostic factor for PFS, and ECOG performance status of two or higher was an adverse prognostic factor for both OS and PFS. Targeted gene sequencing in 46 adrenal diffuse DLBCL patients showed high mutation frequencies in lysine methyltransferase 2D (KMT2D; n=17, 37%), Pim-1 proto-oncogene, serine/threonine kinase (PIM1; n=17, 37%), MYD88 innate immune signal transduction adaptor (MYD88; n=15, 33%), CD79b molecule (CD79B; n=13, 28%), and BTG anti-proliferation factor 2 (BTG2; n=10, 22%). Conclusion ·Age over 60 years is an adverse prognostic factor for PFS, and ECOG performance status of two or higher is an adverse prognostic factor for both OS and PFS in patients with adrenal DLBCL. Patients exhibited high frequencies of KMT2D, PIM1, MYD88, CD79B, and BTG2 mutations, as well as an increased proportion of the MCD-like subtype.

Key words: diffuse large B-cell lymphoma (DLBCL), extranodal, adrenal gland, clinicopathologic characteristic, gene mutation, prognostic factor

中图分类号: