上海交通大学学报(医学版) ›› 2025, Vol. 45 ›› Issue (9): 1106-1115.doi: 10.3969/j.issn.1674-8115.2025.09.003

• 论著 · 基础研究 • 上一篇    下一篇

颌骨成骨细胞调控B细胞分化的效应研究

王歆雨1, 陈芊烨2, 孙计萍3, 鲁婷玮1, 黄湘如1, 孙思远1, 刘媛琪1, 潘厚文1, 代庆刚4, 沈蕾3, 江凌勇1()   

  1. 1.上海交通大学医学院附属第九人民医院口腔颅颌面科,上海交通大学口腔医学院,国家口腔医学中心,国家口腔疾病临床医学研究中心,上海市口腔医学重点实验室,上海市口腔医学研究所,上海 200011
    2.上海交通大学医学院附属第九人民医院口腔颌面-头颈肿瘤科,上海交通大学口腔医学院,国家口腔医学中心,国家口腔疾病临床医学研究中心,上海市口腔医学重点实验室,上海市口腔医学研究所,上海 200011
    3.上海交通大学基础医学院免疫学与微生物学系,上海市免疫学研究所,上海 200025
    4.上海交通大学医学院附属第九人民医院口腔第二门诊部,上海交通大学口腔医学院,国家口腔医学中心,国家口腔疾病临床医学研究中心,上海市口腔医学重点实验室,上海市口腔医学研究所,上海 200011
  • 收稿日期:2025-02-19 接受日期:2025-04-29 出版日期:2025-09-28 发布日期:2025-09-30
  • 通讯作者: 江凌勇,主任医师,博士;电子信箱:jianglingyong@sjtu.edu.cn
  • 基金资助:
    上海交通大学医学院“双百人”项目(20221809);国家自然科学基金(82430032);国家自然科学基金(81870740);国家自然科学基金(82071083);国家自然科学基金(82271006);国家重点研发计划(2024YFC2510700);上海市科技创新行动计划国际科技合作项目/政府间国际科技合作项目(23410713600);上海市自然科学基金(21ZR1436900);上海市自然科学基金(22ZR1436700);上海交通大学医学院附属第九人民医院交叉研究基金(JYJC202116);上海交通大学医学院生物材料与再生医学交叉研究项目(2022LHB02)

Effect of jaw osteoblasts on B cell development via cytokine secretion

WANG Xinyu1, CHEN Qianye2, SUN Jiping3, LU Tingwei1, HUANG Xiangru1, SUN Siyuan1, LIU Yuanqi1, PAN Houwen1, DAI Qinggang4, SHEN Lei3, JIANG Lingyong1()   

  1. 1.Department of Oral and Maxillofacial Surgery, Shanghai Ninth People′s Hospital, Shanghai Jiao Tong University School of Medicine; College of Stomatology, Shanghai Jiao Tong University; National Center for Stomatology; National Clinical Research Center for Oral Diseases; Shanghai Key Laboratory of Stomatology; Shanghai Research Institute of Stomatology, Shanghai 200011, China
    2.Department of Oral Maxillofacio-Head and Neck Oncology, Shanghai Ninth People′s Hospital, Shanghai Jiao Tong University School of Medicine; College of Stomatology, Shanghai Jiao Tong University; National Center for Stomatology; National Clinical Research Center for Oral Diseases; Shanghai Key Laboratory of Stomatology; Shanghai Research Institute of Stomatology, Shanghai 200011, China
    3.Department of Immunology and Microbiology, Shanghai Jiao Tong University School of Basic Medical Sciences; Shanghai Institute of Immunology, Shanghai 200025, China
    4.Department of 2nd Dental Centre, Shanghai Ninth People′s Hospital, Shanghai Jiao Tong University School of Medicine; College of Stomatology, Shanghai Jiao Tong University; National Center for Stomatology; National Clinical Research Center for Oral Diseases; Shanghai Key Laboratory of Stomatology; Shanghai Research Institute of Stomatology, Shanghai 200011, China
  • Received:2025-02-19 Accepted:2025-04-29 Online:2025-09-28 Published:2025-09-30
  • Contact: JANG Lingyong, E-mail: jianglingyong@sjtu.edu.cn.
  • Supported by:
    “Two-Hundred Talents” Program of Shanghai Jiao Tong University School of Medicine(20221809);National Natural Science Foundation of China(82430032);National Key Research and Development Program of China(2024YFC2510700);Shanghai Science and Technology Innovation Action Plan International Science and Technology Cooperation Program(23410713600);Natural Science Foundation of Shanghai(21ZR1436900);Cross-Disciplinary Research Fund of Shanghai Ninth People's Hospital, Shanghai Jiao Tong University School of Medicine(JYJC202116);Biomaterials and Regenerative Medicine Institute Cooperative Research Project, Shanghai Jiao Tong University School of Medicine(2022LHB02)

摘要:

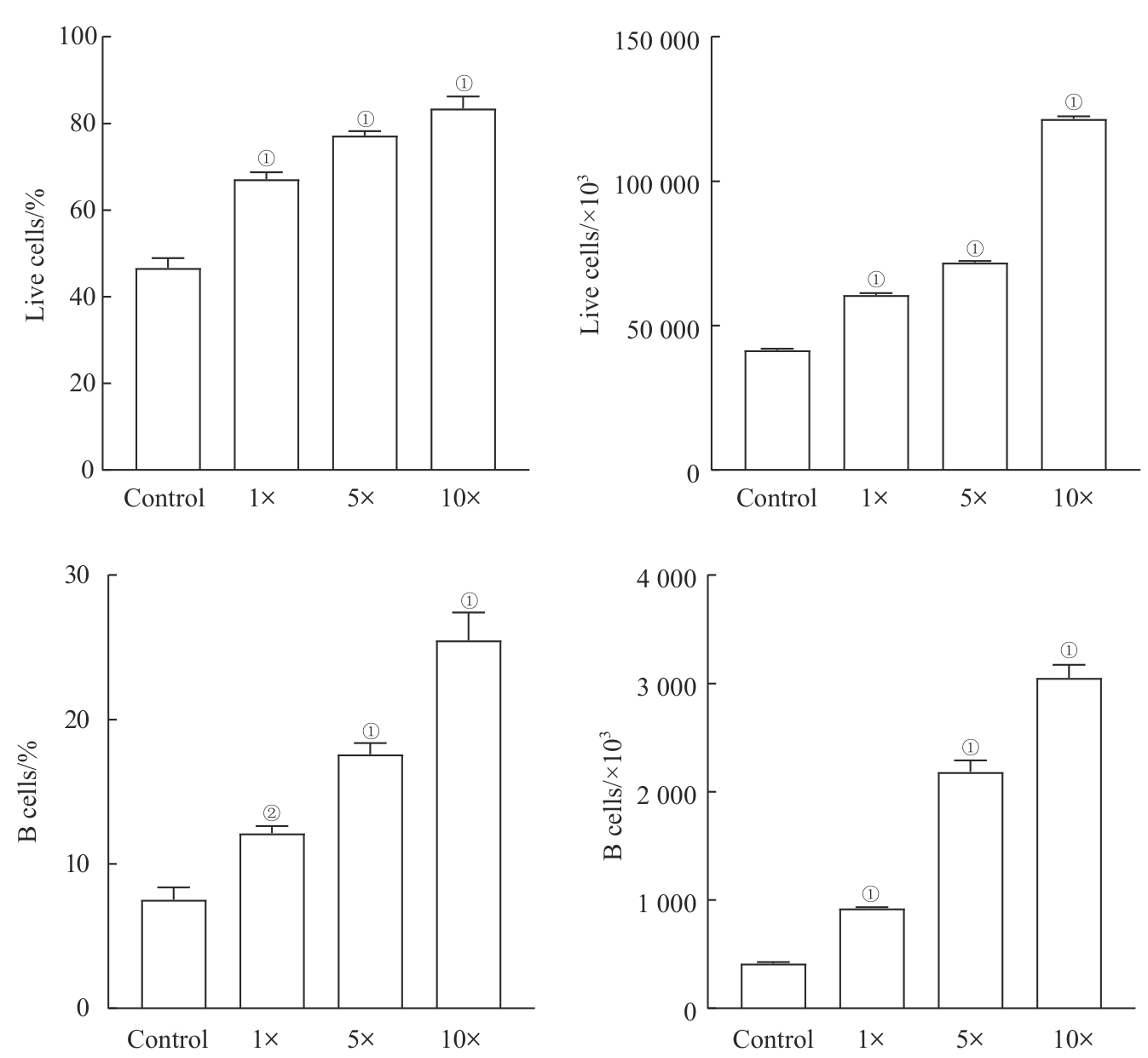
目的·探究小鼠颌骨成骨细胞对B细胞分化发育的调控效应及具体作用机制。方法·采用优化的酶消化法制备小鼠颌骨单细胞悬液,体外诱导分化为成骨细胞。通过实时荧光定量聚合酶链反应(RT-qPCR)、碱性磷酸酶(ALP)染色及茜素红S(ARS)染色验证成骨细胞的成骨潜能。通过免疫荧光染色观察小鼠颌骨组织中成骨细胞与B细胞的空间定位关系。采用流式细胞分选技术获得高纯度、高活性的造血谱系前体细胞。通过建立基于Transwell小室的共培养体系,探究不同浓度颌骨成骨细胞(5×104、2.5×105、5×105个/孔)对B细胞分化(5×104个/孔)发育的调节作用。通过流式细胞术及RT-qPCR检测不同浓度成骨细胞诱导下B细胞的活性与分化程度。利用RT-qPCR检测成骨细胞成骨分化过程中与B细胞发育相关的外分泌因子的表达情况。结果·成骨诱导后,ALP与ARS染色结果显示小鼠颌骨成骨细胞具有优越的成骨潜能。RT-qPCR结果显示成骨细胞内高表达成骨基因Runx2OsxOcnAlp。组织免疫荧光检测结果显示,小鼠颌骨组织内成骨细胞与B细胞在空间定位上紧密相邻。在体外共培养模型中,流式细胞分析结果显示,成骨细胞以浓度依赖性的方式促进B细胞分化与发育。RT-qPCR与细胞免疫荧光检测结果显示,成骨细胞上调B细胞发育关键基因Ebf1Rag1Il7rPax5(均P<0.001)。RT-qPCR结果显示,与B细胞发育密切相关的细胞因子Il7BaffFlt3l在成骨细胞成骨分化的过程中显著上调(均P<0.05)。结论·颌骨成骨细胞以浓度依赖性的方式促进B细胞分化与发育,成骨细胞可能通过分泌生长因子上调B细胞内分化关键基因的表达。

关键词: 颌骨成骨细胞, 骨免疫, B细胞, 免疫调节

Abstract:

Objective ·To investigate the regulatory effects and underlying mechanisms of mouse mandibular osteoblasts on B cell differentiation and development. Methods ·Single-cell suspensions from mouse mandibular bone were prepared using an optimized enzymatic digestion method and induced to differentiate into osteoblasts in vitro. Osteogenic potential was validated by real-time quantitative PCR (RT-qPCR), alkaline phosphatase (ALP) staining, and alizarin red S (ARS) staining. The spatial localization relationship between osteoblasts and B cells in mandibular tissues was examined via immunofluorescence staining. High-purity hematopoietic progenitor cells were isolated using fluorescence-activated cell sorting. A Transwell co-culture system was established to assess the regulatory effects of different osteoblast concentrations (5×104, 2.5×105, and 5×105 cells/well) on B cell differentiation (5×104 cells/well). Flow cytometry and RT-qPCR were employed to evaluate B cell viability and differentiation. Additionally, RT-qPCR was used to analyze the expression of osteoblast-secreted factors associated with B cell development during osteogenic differentiation. Results ·Mandibular osteoblasts exhibited robust osteogenic potential, as confirmed by ALP/ARS staining and high expression of osteogenic markers (Runx2, Osx, Ocn, and Alp) via RT-qPCR. Immunofluorescence revealed close spatial proximity between osteoblasts and B cells in mandibular tissues. In the co-culture system, osteoblasts promoted B cell differentiation in a concentration-dependent manner. RT-qPCR and immunofluorescence demonstrated that osteoblasts significantly upregulated key genes involved in B cell development (Ebf1, Rag1, Il7r, and Pax5; all P<0.001). Furthermore, osteoblast-derived factors (Il7, Baff, and Flt3l) were markedly elevated during osteogenic differentiation (all P<0.05). Conclusion ·Mandibular osteoblasts enhance B cell differentiation and development in a concentration-dependent manner, likely through secreting growth factors that upregulate critical B cell differentiation genes.

Key words: jaw osteoblasts, osteoimmunology, B lymphocytes, immunoregulation

中图分类号: